Nghiên cứu sử dụng polyolefin cải thiện chất lượng bi-tum và bê tông asphalt nâng cao khả năng kháng hằn vệt bánh xe

sao sao sao sao sao
Doanh nghiệp 20/12/2019 06:36

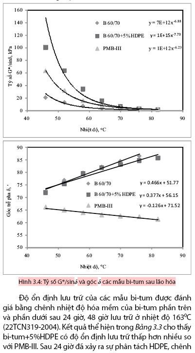
Bài báo trình bày kết quả nghiên cứu khả năng phối trộn và cải thiện chất lượng bi-tum của 4 loại polyolefin tại Việt Nam ...

 

TS. TRẦN NGỌC HƯNG;

ThS. VŨ THẾ THUẦN;

ThS. NCS. Vũ Trung hiếu

Trường Đại học Công nghệ Giao thông vận tải

1a
2a
3a
4a
5a
6a
7a
8a
9a
10a
11a
12a
13a
14a
15a
16a
17a
18a
19a
20a
21a
Ý kiến của bạn

Bình luận

Đường sắt qua Thanh Hóa ngày càng êm thuận, an toàn nhờ những giải pháp đồng bộ

Đường sắt qua Thanh Hóa ngày càng êm thuận, an toàn nhờ những giải pháp đồng bộ

  Trên tuyến đường sắt quốc gia qua địa bàn tỉnh Thanh Hóa, chất lượng hạ tầng và điều kiện chạy tàu ngày càng được nâng cao. Cùng với đó, số lượng lối đi tự mở qua đường sắt từng bước được thu hẹp, cảnh quan dọc tuyến được chỉnh trang theo hướng xanh – sạch – đẹp, góp phần bảo đảm an toàn chạy tàu và tạo diện mạo khang trang cho hành lang đường sắt.

Doanh nghiệp
Hơn 7.000 người đi bộ từ thiện Đinh Thiện Lý quyên góp 2,3 tỷ đồng giúp đỡ người nghèo

Hơn 7.000 người đi bộ từ thiện Đinh Thiện Lý quyên góp 2,3 tỷ đồng giúp đỡ người nghèo

Chương trình đi bộ từ thiện Đinh Thiện Lý thu hút hơn 7.000 người đi bộ đã quyên góp được 2,3 tỷ đồng nhằm hỗ trợ xây dựng, sửa chữa nhà tình nghĩa, hỗ trợ vốn sinh kế, trao tặng phương tiện mưu sinh… cho người nghèo có hoàn cảnh khó khăn.

Doanh nghiệp
Công ty CP Quản lý bảo trì ĐTNĐ số 1 với công tác đảm bảo an toàn giao thông đường thủy

Công ty CP Quản lý bảo trì ĐTNĐ số 1 với công tác đảm bảo an toàn giao thông đường thủy

Công ty CP Quản lý bảo trì đường thủy nội địa số 1 là đơn vị có truyền thống, kinh nghiệm lâu năm trong công tác quản lý bảo trì, đảm bảo an toàn giao thông đường thủy.

Doanh nghiệp
Nỗ lực bảo đảm luồng tuyến đường thủy sông Đuống, Cầu thông suốt, an toàn

Nỗ lực bảo đảm luồng tuyến đường thủy sông Đuống, Cầu thông suốt, an toàn

Với vai trò quản lý bảo trì các tuyến đường thủy quốc gia sông Đuống, Cầu, Lục Nam..., Công ty cổ phần Quản lý đường sông số 4 luôn chủ động, nỗ lực để bảo đảm giao thông thủy thông suốt, an toàn.

Doanh nghiệp
Chủ xe nên biết: Hai địa chỉ đăng kiểm ôtô thuận tiện tại tỉnh Sơn La

Chủ xe nên biết: Hai địa chỉ đăng kiểm ôtô thuận tiện tại tỉnh Sơn La

Các chủ xe ôtô trên địa bàn tỉnh Sơn La hoặc địa phương khác khi đến Sơn La rất thuận tiện giao thông khi lựa chọn Trung tâm đăng kiểm xe cơ giới 26-01D và Trung tâm đăng kiểm 26-03D để kiểm định phương tiện.

Doanh nghiệp
Hạ thủy tàu hàng 65.000DWT

Hạ thủy tàu hàng 65.000DWT

Ngày 24/12, tại Hải Phòng, Công ty Đóng tàu Nam Triệu tổ chức hạ thủy tàu hàng 65.000DWT lớn nhất, do đội ngũ kỹ sư và công nhân Việt Nam thực hiện.

Doanh nghiệp