Một số điều chỉnh và lưu ý trong tính toán thiết kế kết cấu bê tông theo tiêu chuẩn aashto từ phiên bản năm 2007

sao sao sao sao sao
03/06/2016 05:59

So với Tiêu chuẩn AASHTO tái bản lần thứ 3 năm 2004, các tái bản từ lần thứ 4 năm 2007 trở đi có một số điều chỉnh và thay đổi.

TS. Nguyễn Đình Hùng

Trường Đại học Quốc tế - Đại học Quốc gia TP. Hồ Chí Minhn

TS. Vũ Hồng Nghiệp

Trường Đại học Giao thông vận tải TP. Hồ Chí Minh

Người phản biện:

PGS.TS. Lê Văn Nam

TÓM TẮT: So với Tiêu chuẩn AASHTO tái bản lần thứ 3 năm 2004, các tái bản từ lần thứ 4 năm 2007 trở đi có một số điều chỉnh và thay đổi. Bài báo nêu lên một số lưu ý và thay đổi trong tính toán mất mát ứng suất và một số điều khoản trong kiểm tra trạng thái sử dụng như xác định hàm lượng cốt thép tối thiểu và khống chế vết nứt. Bài báo liệt kê cách tính toán một số loại mất mát ứng suất có kể đến trình tự thi công của kết cấu, cách tính toán hàm lượng cốt thép tối thiểu và khống chế vết nứt theo phiên bản từ năm 2007, đồng thời giải thích một số sự khác nhau này.

TỪ KHÓA: Mất mát ứng suất, co ngắn, co ngót, từ biến, tự chùng, hàm lượng cốt thép tối thiểu, khống chế vết nứt.

ABSTRACT: To compare with AASHTO specifications 3rd editon in 2004, some articles in later versions from 2007 are changed or added. This paper presents some changes and consideration in calculating stress losses and checking in service limit stage such as minimum reinforcement and cracking control. Procedure in calculating stress losses considering the effect of construction stage and limit for reinforcement as well as cracking control in later versions of AASHTO specifications from 2007 are shown and interpreted.

KEYWORDS: Stress losses, shrinkage, creep, relaxation, minimum reinforcement, crack control. 

1. ĐẶT VẤN ĐỀ

Ở Việt Nam, Tiêu chuẩn thiết kế cầu cống được áp dụng thống nhất trong cả nước đầu tiên từ 1979 là Tiêu chuẩn ngành 22TCN 18-79[1], được biên soạn dựa trên các tiêu chuẩn cũ năm 1962 và năm 1967 của Nga. Trong giai đoạn từ năm 2001 đến 2005, Tiêu chuẩn 22TCN 18-79 và 22TCN 272-01[2] cùng được áp dụng. Trong đó, Tiêu chuẩn 22TCN 272-01 được biên soạn từ AASHTO LRFD phiên bản 1998[3] của Mỹ. và được Bộ GTVT ban hành để sử dụng tạm thời trong thời gian 2 năm. Nhưng đến năm 2005, Tiêu chuẩn 22TCN 272-05[4], phiên bản mới của 22TCN 272-01  mới được ban hành để áp dụng ở Việt Nam thay thế hoàn toàn cho 22TCN 18-79 và 22TCN 272-01. Tiêu chuẩn 22TCN 272-05[4], được biên dịch lại nhưng vẫn dựa vào phiên bản AASHTO LRFD 1998 . Tại nước Mỹ thì phiên bản năm 2004 đã có một số điều khoản được thay đổi hoặc/và thêm vào. Năm 2005 và 2006, một số điều khoản của phiên bản Tiêu chuẩn AASHTO LRFD 2004[5] cũng liên tục được chỉnh sửa và được tái bản chính thức lần thứ 4 vào năm 2007[6]. Tiêu chuẩn này còn tiếp tục tái bản lần 5, 6 và 7 vào các năm 2009, 2012 và 2014. Phiên bản lần thứ 7 đã được chỉnh sửa và xuất bản năm 2016[7]. 

Bài báo tập trung vào một số thay đổi trong Tiêu chuẩn của AASHTO LRFD bắt đầu từ tái bản lần thứ 4 năm 2007 so với phiên bản lần thứ 3 năm 2004 trong cách tính mất mát ứng suất và một số điều kiện trong trạng thái giới hạn khai thác như giới hạn về cốt thép và khống chế vết nứt trong kết cấu bê tông cốt thép (BTCT) thường. Những nội dung này trong các lần tái bản sau này đều không thay đổi so với phiên bản năm 2007. Do đó, khi tính toán thiết kế cần lưu ý những thay đổi này. Trình tự tính toán các mất mát ứng suất và các điều kiện trong trạng thái giới hạn được trình bày cụ thể để thuận tiện cho việc áp dụng tiêu chuẩn này vào thực tế. 

2. MỘT SỐ LƯU Ý TRONG TÍNH TOÁN MẤT MÁT ỨNG SUẤT  

2.1. Tổng mất mát ứng suất

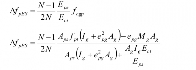
Từ phiên bản lần thứ 4 năm 2007 của Tiêu chuẩn AASHTO LRFD có một số thay đổi trong tính toán mất mát ứng suất so với phiên bản năm 2004. Tổng mất mát ứng suất trong phiên bản năm 2004 được tính bằng công thức (1) và (2). 

ct1

 trong cấu kiện căng trước(1)

    trong cấu kiện căng sau(2)

 

Trong đó: ΔfpT - Tổng mất mát ứng suất;

               ΔfpES, ΔfpF, ΔfpA, ΔfpSR và ΔfpR - Lần lượt là mất mát ứng do co ngắn đàn hồi của bê tông do lực DƯL, do ma sát giữa cáp và ống ghen, do biến dạng neo, do co ngót, do từ biến và do tự chùng của cáp.

Trong khi đó, trong các phiên bản từ lần xuất bản lần thứ 4 năm 2007 trở đi, công thức tính mất mát dự ứng suất được xem xét cụ thể theo từng giai đoạn của thi công như: Ngày dỡ ván khuôn, ngày căng cáp (cắt cáp), ngày đổ bê tông bản mặt cầu và đến khi kết cấu hết thời gian sử dụng dự kiến. Cụ thể, việc tính mất mát dự ứng suất được chia làm 2 loại chính là mất mát tức thời và mất mát theo thời gian. Mất mát tức thời do co ngắn đàn hồi, do ma sát giữa cáp và ống gen và do biến dạng neo. Mất mát ứng suất tức thời trong các phiên bản từ năm 2007 không thay đổi so với phiên bản năm 2004. Mất mát ứng suất theo thời gian được chia làm hai giai đoạn, giai đoạn thứ nhất được tính từ lúc bắt đầu căng cáp đến lúc đổ bản mặt cầu, giai đoạn thứ hai được tính từ sau khi đổ bản mặt cầu đến lúc kết cấu hết thời gian sử dụng dự kiến. Mất mát ứng suất trong các phiên bản từ năm 2007 được tính theo các công thức (3), (4) và (5):

ct345(3) 

(4)

(5)

Trong đó: ΔfpLT - Mất mát ứng suất theo thời gian; (ΔfpSR + ΔfpCRfpR1)id - Lần lượt là mất mát ứng suất do co ngót, từ biến và tự chùng của cáp từ lúc căng cáp đến lúc đổ bản mặt cầu; (ΔfpSR + ΔfpCR + ΔfpR1 - ΔfpSS)df  - Lần lượt là mất mát ứng suất do co ngót, từ biến và tự chùng của cáp và giảm mất mát ứng suất do co ngót của bản mặt cầu từ lúc đổ bản mặt cầu đến lúc kết cấu hết thời gian sử dụng.

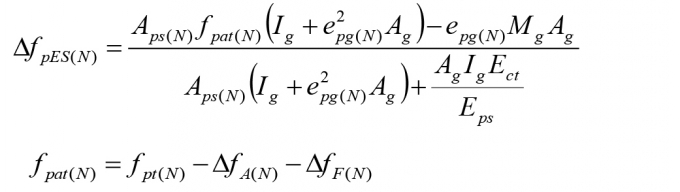
2.2. Mất mát ứng suất do co ngắn đàn hồi

Trong các phiên bản của Tiêu chuẩn AASHTO, mất mát do co ngắn đàn hồi trong cáp DƯL căng trước được xác định bởi công thức (6) sau:

ct6

 

 (6)

 

Trong đó: Eps và Eci - Lần lượt là mô-đun đàn hồi của cáp DƯL và bê tông tại thời điểm truyền lực DƯL; fcgp - Ứng suất trong bê tông ở trọng tâm đám cốt thép do lực DƯL và tải trọng bản thân của kết cấu gây nên. Tuy nhiên, khi tính  fcgp  phải kể đến chính mất mát ứng suất của cáp DƯL do co ngắn đàn hồi của bê tông. Trong thực tế tính toán, nhiều khi ảnh hưởng này không được kể đến. Công thức để tính  fcgp  được thể hiện ở công thức (7):

ct7

 

(7)

 

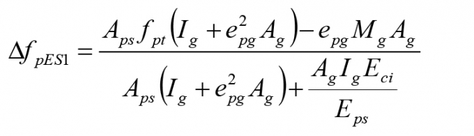
Trong đó: fpt - Ứng suất trong cáp DƯL ngay sau khi truyền lực; Ag, Ig - Diện tích và mô-men quán tính của mặt cắt dầm; epg - Độ lệch tâm của đám cốt thép đến trục trung hòa; Mg - Mô-men do tải trọng bản thân. Thế công thức (7) vào công thức (6), có thể rút ra công thức tính mất mát ứng suất trong cáp DƯL căng sau do co ngắn đàn hồi thực chất được tính bởi công thức (8):

ct8

 

(8)

 

Mất mát do co ngắn đàn hồi trong công thức (8) mới chỉ tính đến giai đoạn căng cáp. Khi đổ bê tông bản mặt cầu và tải trọng chất thêm (DW), mất mát ứng suất do co ngắn đàn hồi ở giai đoạn sử dụng phải tính thêm thành phần có lợi để làm giảm ứng suất co ngắn đàn hồi trong các bó cáp do ảnh hưởng của tĩnh tải giai đoạn 2 ngoài tải trọng bản thân dầm trong công thức (9):

ct9

 

(9)

 

Trong đó: Md là mô-men do tải trọng của bản mặt cầu; epc, Itc và MDW - Lần lượt là độ lệch tâm của bó cáp so với trục trung hòa, mô-men tải trọng chất thêm và mô-men quán tính của dầm ở giai đoạn sử dụng. Tổng mất mát ứng suất do co ngắn đàn hồi ở giai đoạn sử dụng được tính theo công thức (10):

ct10

(10) 

 

Trong công thức (10), mất mát do co ngắn đàn hồi chỉ mới tính cho trường hợp dầm chỉ có đám cốt thép ở thớ chịu kéo. Trong trường hợp dầm có cốt thép ở thớ chịu nén, thì việc xác định mất mát ứng suất do co ngắn đàn hồi ở đám cốt thép chịu kéo và chịu nén trở lên phức tạp hơn.

Đối với trường hợp co ngắn đàn hồi sử dụng cáp DƯL căng sau, công thức tính mất mát ứng suất cho trường hợp này là công thức (11) và (12):

ct1112

 (11)

 

(12)

 

 

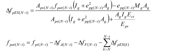
Giá trị mất mát ứng suất trong công thức (12) là mất mát ứng suất trung bình của các bó cáp DƯL. Tuy nhiên, khi sử dụng cáp DƯL căng sau, các bó cáp thường được căng trình tự từng bó một. Rất ít khi tất cả các bó cáp được căng đồng thời. Việc kể đến trình từ căng cáp được thể hiện qua số bó cáp N. Việc tính toán này khá đơn giản và cho giá trị gần đúng. Hơn nữa, trong quá trình tính toán mất mát ứng suất này còn chưa kể đến mất mát ứng suất do ma sát và mất mát do biến dạng của neo cáp. Giả sử trình tự căng cáp DƯL từ 1 đến N. Khi kể đến trình tự căng các bó cáp, có thể tính toán mất mát ứng suất của từng bó cáp. Mất mát ứng suất của bó cáp căng cuối cùng N theo công thức (13) và (14):

ct1314

 

(13)

 

(14

 

 

Mất mát ứng suất do co ngắn đàn hồi của các bó kế tiếp được tính theo công thức (15) và (16):

ct1516

 

 (15)

 

 

(16)

 

Trong công thức (15) và (16) i = 1 đến N-1. Mất mát ứng suất do co ngắn trung bình tại trọng tâm các bó cáp tính theo công thức (17):

ct17

 

(17)

 

Tương tự như trường hợp căng trước, trường hợp căng sau cũng phải kể đến ảnh hưởng của tải trọng phần 2 làm giảm mất mát ứng suất co ngắn đàn hồi tác dụng đồng thời lên các bó cáp như trong công thức (9) trong giai đoạn sử dụng.

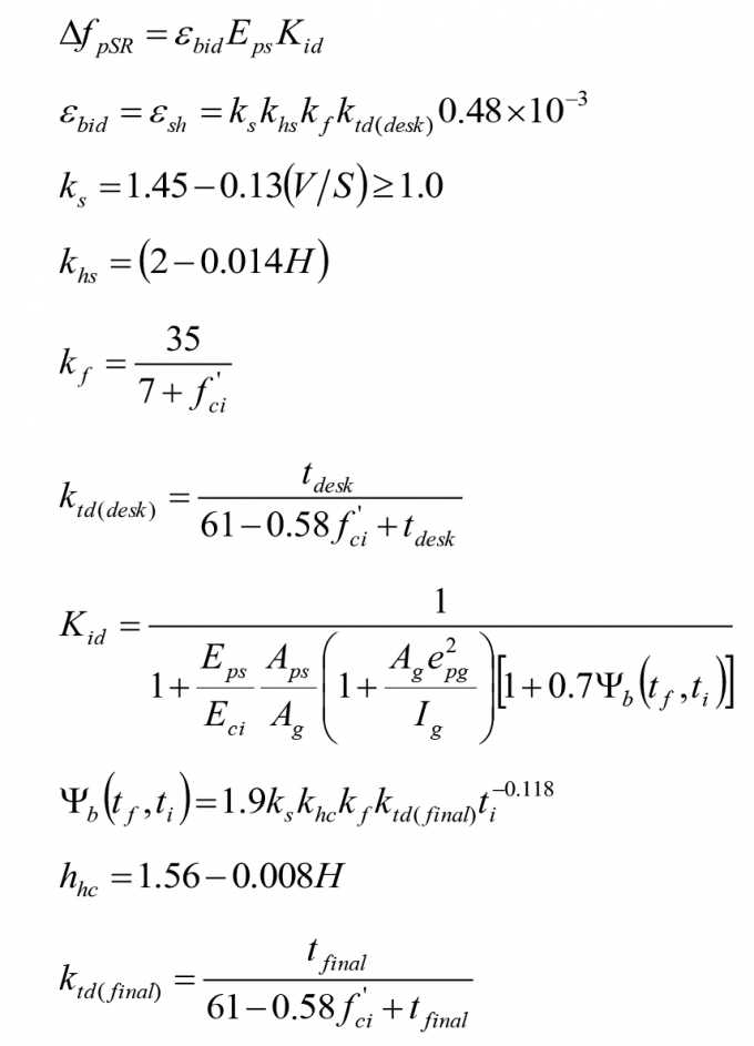
2.3. Mất mát ứng suất do co ngót

Từ phiên bản 2007 trở đi, việc tính toán mất mát do co ngót phức tạp hơn và xem xét theo hai giai đoạn là trước và sau khi đổ bê tông mặt cầu. Mất mát ứng suất do co ngót từ lúc căng cáp đến lúc đổ bê tông bản mặt cầu được tính bằng các công thức từ (18) đến (27):

ct1723

 (18)

 

(19)

(20)

(21)

 

(22)

 

 

(23)

 

(24)

 

 

 

(25)

(26)

 

(27)

 

 

Trong các công thức từ (18) đến (27): `Xi` bid - Biến dạng do co ngót của cấu kiện từ lúc căng cáp đến lúc đổ bản mặt cầu; Kid - Hệ số mặt cắt bị biến đổi từ lúc căng cáp đến lúc đổ bản mặt cầu; ks - Hệ số ảnh hưởng của tỷ số giữa thể tích, V - Diện tích bề mặt, S của kết cấu; kf - Hệ số kể đến ảnh hưởng của cường độ chịu nén của bê tông tại thời điểm căng cáp, fci; khs và hhc - Lần lượt là hệ số cho tính toán co ngót và từ biến kể đến độ ẩm của môi trường, H; ktd - Hệ số kể đến sự phát triển của co ngót theo thời gian; ktd(desk) và ktd(final) - Lần lượt tính đến lúc đổ mặt cầu và đến hết thời hạn sử dụng của kết cấu; Yb(tf ,ti) - Hệ số từ biến của cấu kiện đến thời điểm kết cấu đạt tuổi thọ thiết kế; ti, td (tdesk), tf (tfinal) - Lần lượt là tuổi của bê tông tông lúc căng cáp (cắt cáp), khi đổ bê tông bản mặt cầu và khi hết hạn sử dụng.

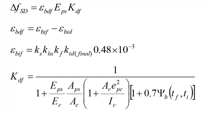
Mất mát ứng suất do co ngót sau khi đổ bê tông bản mặt cầu đến hết thời hạn sử dụng của kết cấu, Δ fpSD được tính theo các công thức từ (28) đến (31):

ct2831

 (28)

(29)

(30)

 

(31)

 

 

Trong đó: `xi` bdf - Biến dạng do co ngót của cấu kiện từ sau lúc đổ bê tông bản mặt cầu; `xi` bif - Biến dạng do co ngót của cấu kiện từ lúc căng cáp đến sau lúc hết thời hạn sử dụng của kết cấu; kf - Hệ số kể đến ảnh hưởng của cường độ chịu nén của bê tông đến lúc đạt cường độ thiết kế; Kdf - Hệ số mặt cắt bị biến đổi từ sau khi đổ bê tông bản mặt cầu; `xi` pc - Độ lệch tâm của các bó cáp DƯL so với trục trung hòa ở giai đoạn sử dụng.

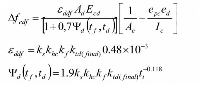
Sau khi đổ bê tông bản mặt cầu, do sự co ngót của bản mặt cầu làm giảm mất mát ứng suất theo thời gian. Giá trị giảm ứng suất trong cáp do co ngót của bản mặt cầu được tính bằng công thức từ (32) đến (35). 

ct3335

 

(32)

 

(33)

(34)

 

Trong đó: `xi` ddf - Biến dạng do từ biến của bê tông bản mặt cầu; ks - Hệ số ảnh hưởng của tỷ số giữa thể tích và diện tích bề mặt của bản mặt cầu; ktd(final) - Hệ số kể đến sự phát triển do co ngót của bản mặt cầu đến hết thời hạn sử dụng của kết cấu; f’ci - Cường độ chịu nén của bê tông bản mặt cầu tại thời điểm bắt đầu gia tải, thường lấy bằng 0,8f’c; Yd(tf,td) - Hệ số từ biến của bản mặt cầu tại thời điểm đạt tuổi thọ thiết kế.

2.4. Mất mát ứng suất do từ biến

Trong các phiên bản từ năm 2007 trở đi, mất mát ứng suất do từ biến từ lúc căng cáp đến lúc đổ bê tông bản mặt cầu được tính theo các công thức từ (36) và (37):

ct3637

 

(36)

 

(37)

 

Trong đó: Yb(td ,ti) - Hệ số từ biến của cấu kiện từ thời điểm căng cáp đến khi đổ bê tông bản mặt cầu.

Công thức tính toán mất mát ứng suất do từ biến từ sau khi đổ bê tông bản mặt cầu, Δ fpCD được tính theo các công thức từ (38) đến (42):

ct3842

 (38)

(39)

(40)

(41)

 

(42)

 

Trong đó: Δ fCD1 - Mất mát do từ biến do lực DƯL và tĩnh tải bản thân dầm; Δ fCD2 - Phần giảm mất mát ứng suất từ biến do tải trọng bản mặt cầu và tải trọng chất thêm; Δ fcd - Sự thay đổi ứng suất ở trọng tâm các bó cáp do mất mát ứng suất theo thời gian từ lúc căng cáp đến lúc đổ bê tông bản mặt cầu, có kể đến tải trọng của bản mặt cầu và tải trọng chất thêm (DW); Md và MDW - Mô-men do tải trọng của bản mặt cầu và tải trọng chất thêm; epg và Ig - Lần lượt là độ lệch tâm của cáp DƯL với trục trung hòa và mô-men quán tính trong giai đoạn căng cáp; epc và Itc - Lần lượt là độ lệch tâm của cáp DƯL với trục trung hòa và mô-men quán tính trong giai đoạn sử dụng.

2.5. Mất mát ứng suất do tự chùng

Trong các phiên bản của Tiêu chuẩn AASHTO từ năm 2007 trở đi, mất mát ứng suất do tự chùng trước và sau khi đổ bê tông bản mặt cầu được tính toán đơn giản hơn và bằng các công thức (43) và (44): 

ct4344

 

(43)

 

(44)

 

Trong đó: KL lấy bằng 30 cho trường hợp tao cáp và lấy bằng 7 cho các loại thép DƯL khác. Khi muốn tính toán chính xác hơn, mất mát do tự chùng trước và sau khi đổ bê tông bản mặt cầu được tính bằng công thức (45):

ct45

 

(45)

Trong đó: K’L lấy bằng 45 cho trường hợp cáp tự chùng thấp và bằng 10 cho thép DƯL được khử ứng suất; t - Tuổi của bê tông lúc đổ bê tông bản mặt cầu (ngày); ti - Tuổi của bê tông lúc truyền lực; Kid - Tính theo công thức (24).

3. MỘT SỐ LƯU Ý KHÁC TRONG TRẠNG THÁI SỬ DỤNG  

3.1. Giới hạn về cốt thép

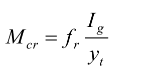
Quy định về lượng cốt thép tối thiểu phải đủ để phát triển sức kháng uốn tính toán, Mr, bằng giá trị nào nhỏ hơn trong hai giá trị sau: 1,2 lần mô-men kháng nứt, Mcr và 1,33 lần mô-men tính toán, Mu. Trong phiên bản 2004, mô-men kháng nứt chỉ kể đến ảnh hưởng của khả năng kháng nứt của vật liệu, cụ thể là bê tông và đặc trưng hình học của mặt cắt và được tính theo công thức (46), giá trị này là giá trị giới hạn nhỏ nhất có thể của mặt cắt.

ct46

 

(46)

 

Từ phiên bản năm 2007, quy định về lượng cốt thép tối đa được loại bỏ. Mô-men kháng nứt của mặt cắt xem xét ảnh hưởng của tĩnh tải bản thân kết cấu, bản mặt cầu và không được vượt quá ảnh hưởng do lực DƯL và khả năng sức kháng nứt của vật liệu gây ra. Mô-men kháng nứt được tính theo công thức (47):

ct47

 

(47)

 

Trong đó: fr - Cường độ chịu kéo uốn; yt - Khoảng cách từ trục trung hòa đến thớ chịu kéo ngoài cùng; fcpe - Cường độ chịu nén trong bê tông ở thớ chịu kéo ngoài cùng do lực DƯL gây ra; Sc - Mô-men quán tính tĩnh đối với thớ ngoài cùng chịu kéo của mặt cắt tại giai đoạn sử dụng; Snc - Mô-men quán tính tĩnh đối với thớ ngoài cùng chịu kéo của mặt cắt tại giai đoạn căng cáp; Mdnc - Mô-men do tĩnh tải tác dụng trong giai đoạn căng cáp và chưa kể đến hệ số tải trọng. 

3.2. Khống chế vết nứt bằng phân bố cốt thép thường

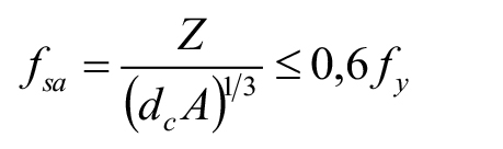
Trong phiên bản tiêu chuẩn xuất bản năm 2004, để khống chế vết nứt trong kết cấu BTCT thường, ứng suất trong cốt thép thường được tạo ra sao cho không quá giá trị trong công thức (48):

ct48

 

(48)

 

Trong đó: dc - Chiều cao phần bê tông tính từ thớ chịu kéo ngoài cùng đến tâm của thanh thép gần nhất (không được lớn hơn 50mm); Ac - Diện tích của phần bê tông có cùng trọng tâm với đám cốt thép chịu kéo được tạo bởi các mặt cắt ngang và đường thẳng song song với trục trung hòa, chia cho số lượng thanh thép; Z - Thông số bề rộng vết nứt phụ thuộc vào điều kiện môi trường. 

Việc tính toán theo phương pháp này có một số hạn chế. Khi muốn giảm ứng suất trong thép, chỉ cần tăng chiều dài dc. Rõ ràng điều này là không hợp lý trong kết cấu khi tăng chiều dày bảo vệ, đặc biệt là kết cấu có chiều cao dầm không lớn. Việc tính toán diện tích A cũng rất phức tạp, đặc biệt là khi cốt thép không được bố trí theo hình chữ nhật trong những mặt cắt dầm có hình dạng phức tạp. Còn một điểm nữa là kết cấu bê tông đổ tại chỗ hay đúc sẵn sẽ có các yêu cầu chiều dày bảo vệ khác nhau.   

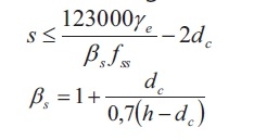
Trong phiên bản năm 2007, việc khống chế vết nứt phụ thuộc vào chiều dày lớp bê tông bảo vệ và khoảng cách của các thanh thép ở lớp gần bề mặt thớ chịu kéo nhất. Khi khoảng cách giữa các thanh cốt thép ở thớ gần thớ ngoài cùng chịu kéo thỏa mãn công thức (49) và (50) thì vết nứt trong kết cấu BTCT thường được khống chế:

ct4950

 (49)

 

(50)

 

Trong đó: dc - Chiều cao phần bê tông tính từ thớ chịu kéo ngoài cùng đến tâm của thanh thép gần nhất; h - Chiều cao mặt cắt của kết cấu; ge - Hệ số kể đến môi trường nơi kết cấu tiếp xúc, lấy bằng 1 trong điều kiện môi trường ít xâm thực nghiêm trọng và lấy bằng 0,75 trong điều kiện môi trường xâm thực nghiêm trọng; fss - Ứng suất kéo trong cốt thép thường ở trạng thái giới hạn sử dụng. Sử dụng phương pháp này thực chất là kể đến bán kính ảnh hưởng của cốt thép lên bê tông. Do đó, việc sử dụng khoảng cách các thanh thép và chiều dày bảo vệ cốt thép có thể giới hạn được vết nứt mà không ảnh hưởng đến các loại kết cấu khác nhau.

4. KẾT LUẬN

Các phiên bản mới của Tiêu chuẩn AASHTO LRFD thường được điều chỉnh hàng năm. Một số điều khoản có thể được thay thế hoàn toàn dựa trên thực nghiệm để làm cho kết quả thiết kế an toàn và sát với giá trị thực tế hơn. Một số điều khoản được thay đổi có thể làm cho việc tính toán trở nên đơn giản hơn hoặc phức tạp hơn. Đặc biệt là tính toán mất mát ứng suất, tính toán khống chế vết nứt. 

Bài báo này đã nêu lên sự thay đổi giữa các phiên bản từ sau năm 2007 so với năm 2004. Từ kết quả phân tích trên có thể thấy, việc tính toán mất mát ứng suất do co ngắn đàn hồi và theo thời gian là rất phức tạp và rất dễ bị nhầm lẫn do kể đến quá trình thi công của kết cấu. Với việc liệt kê cụ thể trình tự tính toán trong bài báo có thể làm cho việc tính toán trở lên đơn giản hơn. 

Trong phiên bản 2007 cũng xét đến đầy đủ các yếu tố có thể ảnh hưởng đến mô-men kháng nứt của mặt cắt như tĩnh tải bản thân kết cấu, bản mặt cầu, lực DƯL và khả năng kháng nứt của vật liệu. Với việc thay đổi tính toán này, có thể tiết kiệm thép hơn trong thiết kế. Việc sử dụng khoảng cách các thanh thép ở lớp ngoài gần thớ chịu kéo ngoài cùng nhất và bề dày của lớp bê tông bảo vệ phản ánh thực chất hơn sự khống chế vết nứt trong kết cấu BTCT thường và hạn chế những nhược điểm của phương pháp đã nêu trong phiên bản năm 2004. 

Tài liệu tham khảo

[1]. 22TCN-18-79, Quy trình thiết kế cầu cống theo trạng thái giới hạn, 1979.

[2]. 22TCN 272-01, Tiêu chuẩn Thiết kế Cầu, 2005.

[3]. AASHTO LRFD Bridge Design Specifications, 2nd edition, 1998.

[4]. 22TCN 272-05, Tiêu chuẩn Thiết kế cầu, 2005.

[5]. AASHTO LRFD Bridge Design Specifications, 3rd edition, 2004.

[6]. AASHTO LRFD Bridge Design Specifications, 4rd edition, 2007.

[7]. AASHTO LRFD Bridge Design Specifications, Customary U.S. Units, 7th Edition, with 2015 and 2016 Interim Revisions.

 

Ý kiến của bạn

Bình luận

Ứng dụng CNTT trong hoạt động vận tải nhằm giảm chi phí logistics

Ứng dụng CNTT trong hoạt động vận tải nhằm giảm chi phí logistics

Bài báo đề cập tới lợi ích và giải pháp cần thiết để doanh nghiệp Việt Nam ứng dụng công nghệ thông tin (CNTT)...

Nghiên cứu ứng dụng logic mờ trong phân tích tài chính dự án giao thông theo hình thức hợp tác công - tư

Nghiên cứu ứng dụng logic mờ trong phân tích tài chính dự án giao thông theo hình thức hợp tác công - tư

Phát triển cơ sở hạ tầng giao thông sẽ tạo điều kiện để phát triển kinh tế - xã hội, đáp ứng tiến trình hội nhập kinh tế...

Đánh giá ảnh hưởng của hệ số tổn thất khí động qua xu-páp nạp, thải đến các thông số vận hành của động cơ Hyundai 2.5TCI-A

Đánh giá ảnh hưởng của hệ số tổn thất khí động qua xu-páp nạp, thải đến các thông số vận hành của động cơ Hyundai 2.5TCI-A

Hiện nay, việc tính toán chu trình công tác (CTCT) của động cơ đốt trong thường sử dụng các phần mềm mô phỏng (PMMP) chuyên dụng như: Diesel RK, GT - Power, AVL - Boost…

Nghiên cứu sóng hài dòng điện hệ thống cung cấp điện kéo đường sắt đô thị

Nghiên cứu sóng hài dòng điện hệ thống cung cấp điện kéo đường sắt đô thị

Đường sắt đô thị là loại hình GTVT đáp ứng nhu cầu đi lại của người dân trong các thành phố hiện đại.

Nghiên cứu đặc tính thâm nhập ion clo của bê tông geopolymer tro bay

Nghiên cứu đặc tính thâm nhập ion clo của bê tông geopolymer tro bay

Bài báo trình bày kết quả nghiên cứu đặc tính thâm nhập ion clorua của bê tông geopolymer tro bay.

Nghiên cứu đặc điểm đi lại và đề xuất giải pháp phát triển xe đạp công cộng tại các đô thị ở Việt Nam

Nghiên cứu đặc điểm đi lại và đề xuất giải pháp phát triển xe đạp công cộng tại các đô thị ở Việt Nam

Xe đạp công cộng được nhiều quốc gia trên thế giới xem là mắt xích cuối cùng trong chuỗi vận tải đa phương tiện