Hiệu quả sử dụng phụ gia siêu dẻo trong bê tông xi măng dùng hỗn hợp cát nghiền và cát mịn tự nhiên tại khu vực Đông Nam bộ

sao sao sao sao sao
01/07/2015 16:09

Cát nghiền là một giải pháp khả thi để khắc phục sự thiếu hụt của cát tự nhiên. Tuy nhiên, khi sử dụng cát nghiền đã ảnh hưởng xấu đến tính công tác và hoàn thiện của bê tông xi măng (BTXM). Bài báo đánh giá hiệu quả kinh tế - kỹ thuật của BTXM dùng hỗn hợp cát nghiền và cát mịn tự nhiên có sử dụng phụ gia siêu dẻo. Các kết quả nghiên cứu đưa ra được lợi ích của bê tông dùng hỗn hợp cát có sử dụng phụ gia siêu dẻo là giảm lượng nước và lượng dùng xi măng, đồng thời giảm giá thành xây dựng công trình.

TS. NGUYỄN ĐỨC TRỌNG

Trường Đại học Giao thông vận tải

Người phản biện:

TS. Nguyễn Thanh Sang

 PGS. TS. Lê Văn Bách

Tóm tắt: Cát nghiền là một giải pháp khả thi để khắc phục sự thiếu hụt của cát tự nhiên. Tuy nhiên, khi sử dụng cát nghiền đã ảnh hưởng xấu đến tính công tác và hoàn thiện của bê tông xi măng (BTXM). Bài báo đánh giá hiệu quả kinh tế - kỹ thuật của BTXM dùng hỗn hợp cát nghiền và cát mịn tự nhiên có sử dụng phụ gia siêu dẻo. Các kết quả nghiên cứu đưa ra được lợi ích của bê tông dùng hỗn hợp cát có sử dụng phụ gia siêu dẻo là giảm lượng nước và lượng dùng xi măng, đồng thời giảm giá thành xây dựng công trình.

Từ khóa: Phụ gia siêu dẻo, cát nghiền, cát mịn tự nhiên.

Abstract: Manufactured sand is a viable solution to overcome the shortage of natural sand. However, when using the manufactured sand, an adversely effect will occur during the workability and finishing of cement concrete. This paper evaluates economic - techniques efficiency of cement concrete that contains the mixture of manufactured sand and natural fine sand using the superplasticizer. The experimental research results show that the benefits of concrete made of the sand mixture and superplasticizer will reduce water content and cement as well as the construction cost.

Keywords: Superplasticizer, manufactured sand, natural fine sand

1. Đặt vấn đề

Cát nghiền có tính nhám bề mặt lớn, hình dạng hạt góc cạnh và lượng hạt mịn cao (cỡ hạt < 0,075mm), nên khi sử dụng cát nghiền làm cho độ sụt và tính hoàn thiện bề mặt của BTXM kém [4]. Với những lý do này, cát nghiền có những khó khăn nhất định trong sản xuất bê tông.

Khi sử dụng cát nghiền sản xuất BTXM sẽ làm giảm khả năng thi công. Ngay cả mẫu cát nghiền tốt nhất cũng cho tính công tác kém hơn so với sử dụng cát tự nhiên [4],[5]. Cát nghiền có bề mặt nhám và góc cạnh hơn cát tự nhiên nên ảnh hưởng đến khả năng thi công của bê tông nhưng điều này có thể khắc phục bằng cách sử dụng thêm một hàm lượng hợp lý cát tự nhiên và phụ gia siêu dẻo.

Mặt khác, theo quy định hiện hành thì lượng xi măng sử dụng trong BTXM làm mặt đường ô tô từ 300 ¸ 400kg/m3 [1]. Vì thế, để đảm bảo các tính chất cơ học tốt, giảm lượng nước và lượng xi măng yêu cầu mà vẫn duy trì độ sụt tốt của bê tông dùng hỗn hợp cát nghiền và cát mịn tự nhiên thì việc sử dụng phụ gia siêu dẻo là cần thiết.

Nội dung chính đề cập trong bài báo là nghiên cứu thực nghiệm để đánh giá hiệu quả về kinh tế - kỹ thuật của BTXM có sử dụng phụ gia siêu dẻo dùng hỗn hợp cát nghiền và cát mịn tự nhiên để sản xuất BTXM.

2. Nghiên cứu thực nghiệm

2.1. Tính chất của các vật liệu sử dụng chế tạo BTXM

Đá: Sử dụng loại đá 5x20mm được lấy từ mỏ đá Hóa An có các chỉ tiêu đạt yêu cầu của TCVN 7570-2006; độ hút nước: 0,4%, khối lượng thể tích xốp: 1,462g/cm3, khối lượng riêng: 2,79 g/cm3, cường độ đá gốc: 139,7MPa, hệ số hóa mềm: 0,92, hàm lượng chung bụi, bùn, sét chiếm: 0,6%.

Xi măng: Sử dụng xi măng Holcim PCB40 có cường độ nén tuổi 28 ngày là 44,2MPa, khối lượng riêng: 3,09 g/cm3, lượng nước tiêu chuẩn: 29,0%.

Cát: Hiện nay, ở khu vực Đông Nam bộ, nguồn cát nghiền chủ yếu được sản xuất từ mỏ đá Hóa An, các mỏ khác tạm dừng khai thác hoặc khối lượng không đáng kể. Nghiên cứu này sử dụng cốt liệu nhỏ là cát hỗn hợp được phối trộn từ 60% cát nghiền Hóa An có mô đun độ lớn là 3,72 với 40% cát mịn Tân Châu có mô đun độ lớn là 1,45. Theo kết quả nghiên cứu, khi lượng cát nghiền chiếm 60% thì cho hỗn hợp cát có các chỉ tiêu cơ lý phù hợp với tiêu chuẩn hiện hành dùng làm cốt liệu nhỏ để sản xuất BTXM [3].

Bảng 2.1. Kết quả một số chỉ tiêu cơ lý cát nghiền từ mỏ đá Hóa An [3]

b21
 

 (Ghi chú: CP 60/40 là cấp phối phối trộn 60% cát nghiền và 40% cát mịn)

h21
Hình 2.1: Biểu đồ thành phần hạt của hỗn hợp cát khi phối trộn cát nghiền và cát mịn tự nhiên

Nước: Nước sử dụng cho bê tông là nước sạch, đạt tiêu chuẩn TCVN 4506 : 2012.

2.2. Thành phần các loại bê tông chế tạo và mẫu thí nghiệm

- Tính toán thành phần cấp phối BTXM có sử dụng hỗn hợp cát nghiền và cát mịn theo TCXDVN 322:2004 có cường độ chịu nén 30 MPa, 36MPa.

- Xác định thành phần cấp phối BTXM loại 30 MPa, 36MPa sử dụng hỗn hợp cát nghiền và cát mịn tự nhiên có dùng phụ gia siêu dẻo (Sika-R4). Nghiên cứu này chỉ đề cập đến lượng phụ gia sử dụng trong bê tông là 1lít/100kg xi măng.

 Bảng 2.2. Thành phần cấp phối BTXM dùng hỗn hợp cát nghiền và cát tự nhiên có sử dụng phụ gia siêu dẻo Sika - R4

b22
 

2.3. Kết quả thực nghiệm và thảo luận

2.3.1. Kết quả thực nghiệm

Mỗi cấp phối bê tông được chế tạo 12 mẫu lăng trụ để xác định cường độ kéo uốn (Ru) và mô đun đàn hồi (E), 6 mẫu lập phương để xác định cường độ chịu nén (Rn). Tổng cộng có tất cả 108 mẫu BTXM được đúc, bảo dưỡng và thử nghiệm tại Phòng Thí nghiệm thuộc Liên hiệp Khoa học Địa chất Nền móng - Vật liệu xây dựng.

Kết quả thí nghiệm độ sụt, cường độ chịu nén, cường độ chịu kéo uốn và mô đun đàn hồi ở tuổi 28 ngày của BTXM như Bảng 2.3.

Bảng 2.3. Kết quả thí nghiệm Sn, Rn, Ru và E cuả BTXM khi dùng hỗn hợp cát nghiền và cát tự nhiên có sử dụng phụ gia siêu dẻo Sika-R4 (R4)

b23
 

 2.3.2. Đánh giá về tính chất và giá thành của bê tông

- Tính chất của bê tông tươi: Khi sử dụng phụ gia Sika - R4 với liều lượng 1 lít/100kg xi măng vào trong bê tông dùng hỗn hợp cát nghiền và cát mịn tự nhiên thì độ sụt của BTXM tương tự so với khi không sử dụng phụ gia nhưng giảm được (16,6 ¸ 17,2) % nước. Đặc biệt, làm chậm quá trình đông kết và duy trì được độ sụt của BTXM trong quá trình thi công.

- Tính chất của bê tông đông cứng:

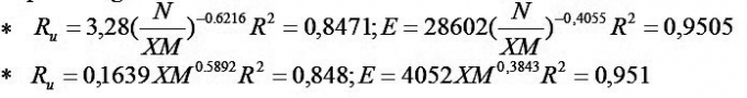
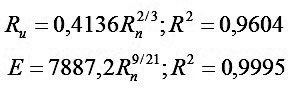
+ Từ các số liệu thực nghiệm, thiết lập được mối quan hệ giữa cường độ kéo uốn, mô đun đàn hồi và cường độ chịu nén của BTXM khi dùng hỗn hợp cát nghiền và cát mịn tự nhiên có sử dụng phụ gia siêu dẻo:

ct h22 23
 
h22 23
Hình 2.2, Hình 2.3: Mối quan hệ giữa cường độ kéo uốn, mô-đun đàn hồi khi nén tĩnh và cường độ chịu nén của các loại BTXM khi dùng hỗn hợp cát có sử dụng phụ gia R4

+ Tỷ số giữa cường độ chịu kéo uốn và cường độ chịu nén của bê tông dùng hỗn hợp cát có sử dụng phụ gia Sika-R4, Ru/Rn= 0,106 ¸ 0,118.

+ Từ kết quả nghiên cứu có thể xác định cường độ chịu kéo uốn và mô-đun đàn hồi của BTXM khi dùng hỗn hợp cát nghiền và cát mịn tự nhiên có sử dụng phụ gia Sika-R4 nếu biết được tỷ lệ nước/xi măng (N/XM) hoặc lượng xi măng (XM) trong hỗn hợp bê tông.

ct h24 25
 
h24 25
Hình 2.4, Hình 2.5: Mối quan hệ giữa cường độ kéo uốn, mô-đun đàn hồi khi nén tĩnh của các loại BTXM khi dùng hỗn hợp cát có sử dụng phụ gia R4 và lượng xi măng

+ Từ các biểu thức trên nhận thấy: Để cường độ chịu kéo uốn của bê tông dùng hỗn hợp cát có sử dụng phụ gia siêu dẻo tương tự với khi không dùng phụ gia thì lượng xi măng sử dụng lần lượt là 300kg/m3 - đối với loại bê tông 30MPa và 380kg/m3- đối với loại bê tông 36MPa (tương ứng mức độ giảm xi măng là 18%).

- So sánh về giá thành của bê tông: Chi phí vật tư (chưa bao gồm thuế giá trị gia tăng) của BTXM cường độ nén 30MPa và 36MPa khi dùng hỗn hợp cát có sử dụng phụ gia siêu dẻo rẻ hơn so với khi không sử dụng phụ gia siêu dẻo lần lượt là 51.149 đồng và 55.318 đồng cho 1m3 bê tông (do tiết kiệm được lượng xi măng nhưng đảm bảo cho bê tông có cường độ tương đương).

3. Kết luận

- Do tính góc cạnh của cát nghiền nên việc sử dụng thêm một hàm lượng cát tự nhiên tròn cạnh và dùng phụ gia siêu dẻo với tỷ lệ phù hợp để cải thiện một số tính chất của bê tông khi có sử dụng cát nghiền là cần thiết. Sử dụng hỗn hợp cát nghiền và cát mịn tự nhiên không những nâng cao chất lượng cho sản phẩm BTXM mà còn tận dụng được nguồn vật liệu địa phương giá rẻ. Khi sử dụng phụ gia siêu dẻo trong bê tông dùng hỗn hợp cát thì độ sụt của bê tông đảm bảo yêu cầu, kéo dài thời gian ninh kết của xi măng, tạo thuận lợi cho công tác hoàn thiện; đồng thời giảm được khoảng 18% xi măng so với khi không dùng phụ gia siêu dẻo.

- Mối quan hệ giữa cường độ kéo uốn, mô-đun đàn hồi và cường độ chịu nén của BTXM khi sử dụng hỗn hợp cát nghiền - cát mịn tự nhiên và phụ gia siêu dẻo như sau:

- Khi có sử dụng phụ gia siêu dẻo chế tạo BTXM dùng hỗn hợp cát cho BTXM có các đặc tính kỹ thuật đạt yêu cầu cần thiết nhưng tiết kiệm được lượng xi măng đáng kể, góp phần giảm chi phí mua vật tư và hạ giá thành xây dựng công trình o

 Tài liệu tham khảo

[1]. Bộ GTVT (2012), Quy định tạm thời về kỹ thuật thi công và nghiệm thu mặt đường BTXM trong xây dựng công trình giao thông, kèm theo quyết định số 1951/QĐ-BGTVT, Việt Nam.

[2]. Bộ Xây dựng (2004), TCXDVN 322:2004 - Chỉ dẫn kỹ thuật chọn thành phần bê tông sử dụng cát nghiền, Việt Nam.

[3]. Nguyễn Đức Trọng (4/2012), Đánh giá chất lượng cát xay được sản xuất từ các mỏ đá khác nhau ở khu vực Đông Nam bộ và kiến nghị giải pháp sử dụng cát xay trong sản xuất BTXM, Tạp chí Cầu đường Việt Nam.

[4]. Mark James Krinke (October, 2004), The effect of admixtures in concrete containing manufactured sand, University of Southern Queensland, Australia.

[5]. David W. Fowler (October 15, 2008), The University of Texas at Austin, Federal Highway Administration Research Project, the University of Texas at Austin.

Ý kiến của bạn

Bình luận

Ứng dụng CNTT trong hoạt động vận tải nhằm giảm chi phí logistics

Ứng dụng CNTT trong hoạt động vận tải nhằm giảm chi phí logistics

Bài báo đề cập tới lợi ích và giải pháp cần thiết để doanh nghiệp Việt Nam ứng dụng công nghệ thông tin (CNTT)...

Nghiên cứu ứng dụng logic mờ trong phân tích tài chính dự án giao thông theo hình thức hợp tác công - tư

Nghiên cứu ứng dụng logic mờ trong phân tích tài chính dự án giao thông theo hình thức hợp tác công - tư

Phát triển cơ sở hạ tầng giao thông sẽ tạo điều kiện để phát triển kinh tế - xã hội, đáp ứng tiến trình hội nhập kinh tế...

Đánh giá ảnh hưởng của hệ số tổn thất khí động qua xu-páp nạp, thải đến các thông số vận hành của động cơ Hyundai 2.5TCI-A

Đánh giá ảnh hưởng của hệ số tổn thất khí động qua xu-páp nạp, thải đến các thông số vận hành của động cơ Hyundai 2.5TCI-A

Hiện nay, việc tính toán chu trình công tác (CTCT) của động cơ đốt trong thường sử dụng các phần mềm mô phỏng (PMMP) chuyên dụng như: Diesel RK, GT - Power, AVL - Boost…

Nghiên cứu sóng hài dòng điện hệ thống cung cấp điện kéo đường sắt đô thị

Nghiên cứu sóng hài dòng điện hệ thống cung cấp điện kéo đường sắt đô thị

Đường sắt đô thị là loại hình GTVT đáp ứng nhu cầu đi lại của người dân trong các thành phố hiện đại.

Nghiên cứu đặc tính thâm nhập ion clo của bê tông geopolymer tro bay

Nghiên cứu đặc tính thâm nhập ion clo của bê tông geopolymer tro bay

Bài báo trình bày kết quả nghiên cứu đặc tính thâm nhập ion clorua của bê tông geopolymer tro bay.

Nghiên cứu đặc điểm đi lại và đề xuất giải pháp phát triển xe đạp công cộng tại các đô thị ở Việt Nam

Nghiên cứu đặc điểm đi lại và đề xuất giải pháp phát triển xe đạp công cộng tại các đô thị ở Việt Nam

Xe đạp công cộng được nhiều quốc gia trên thế giới xem là mắt xích cuối cùng trong chuỗi vận tải đa phương tiện