Nghiên cứu ứng dụng mạng nơ-ron nhân tạo nâng cao chất lượng cảm biến bán dẫn

sao sao sao sao sao
Doanh nhân 24/12/2019 03:56

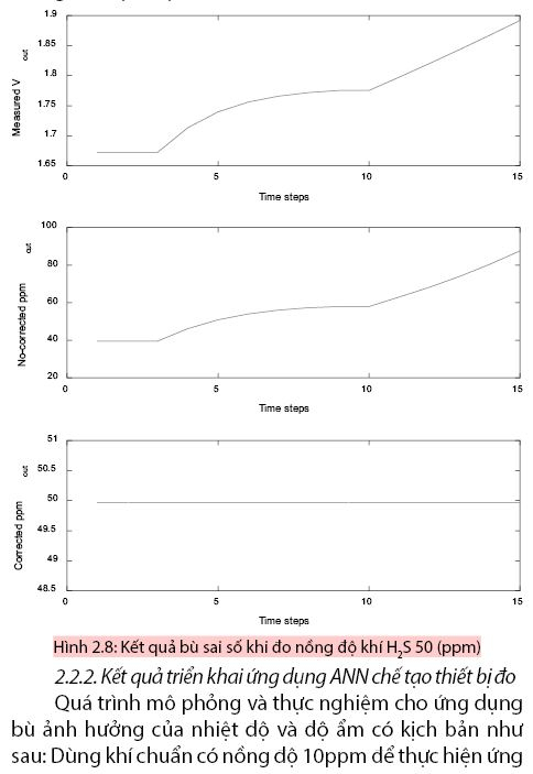
Bài báo ứng dụng ANN (Artificial Neural Network) nâng cao chất lượng cảm biến bán dẫn đó là: Bù sai số của yếu tố ảnh hưởng môi trường...

 

ThS. Trần Thị Phương Thảo

Trường Đại học Hàng Hải Việt Nam

1a
2a
3a
4a
5a
6a
7a
8a
9a
10a
11a
12a
13a
14a
15a
16a
17a
Ý kiến của bạn

Bình luận

Vinh danh điển hình tiên tiến, cán bộ công đoàn tiêu biểu

Vinh danh điển hình tiên tiến, cán bộ công đoàn tiêu biểu

Ghi nhận những đóng góp, cống hiến vào sự nghiệp xây dựng, phát triển ngành Đường bộ, tổ chức công đoàn, Khu Quản lý đường bộ III, Cục Đường bộ Việt Nam vinh danh các điển hình tiên tiến, cán bộ công đoàn tiêu biểu năm 2025.

Doanh nhân
Những “Bóng hồng” trên hải trình xanh

Những “Bóng hồng” trên hải trình xanh

Ngày 25/6 hằng năm, được Tổ chức Hàng hải Quốc tế (IMO) chọn là ngày Thuyền viên Thế giới nhằm ghi nhận và tôn vinh những đóng góp thầm lặng nhưng to lớn của lực lượng thuyền viên toàn cầu. Tại Việt Nam, ngày này không chỉ là dịp tri ân những người đã và đang miệt mài bám biển, mà còn là cơ hội để nhìn lại sự phát triển mạnh mẽ của đội ngũ thuyền viên trong nước, đặc biệt là sự xuất hiện ngày càng mạnh mẽ và đầy bản lĩnh của lực lượng thuyền viên nữ - những người đang từng bước khẳng định vị thế trên hải trình xanh của thời đại số và xu hướng phát triển bền vững.

Doanh nhân
Cần quan tâm đặc biệt đến tình trạng khai thác cầu dây văng

Cần quan tâm đặc biệt đến tình trạng khai thác cầu dây văng

Tạp chí GTVT có cuộc trao đổi với ông Nguyễn Văn Thành, giám đốc Khu quản lý đường bộ IV (đơn vị quản lý, khai thác nhiều cầu dây văng) về công tác quản lý, vận hành, khai thác và bảo trì cầu dây văng hiện nay.

Doanh nhân
VNR tổng kết dự án do Chính phủ Hàn Quốc tài trợ

VNR tổng kết dự án do Chính phủ Hàn Quốc tài trợ

Mới đây, Tổng công ty Đường sắt VN (VNR) đã phối hợp với Liên danh nhà thầu Hàn Quốc tổ chức Lễ tổng kết Dự án “Nâng cao năng lực quản lý an toàn đường sắt tại Việt Nam” do Chính phủ Hàn Quốc tài trợ.

Doanh nhân
Video xe chữa cháy mini Pickup S.100 hơn 1 tỷ đồng vừa ra mắt tại thị trường Việt Nam

Video xe chữa cháy mini Pickup S.100 hơn 1 tỷ đồng vừa ra mắt tại thị trường Việt Nam

Xe chữa cháy Pickup S.100 với tính linh hoạt, phù hợp trong việc chữa cháy tại các ngõ hẻm vừa được ra mắt tại thị trường Việt Nam.

Doanh nhân
Sớm ứng dụng công nghệ "Dầm cánh rộng" trong xây dựng cầu tại Việt Nam

Sớm ứng dụng công nghệ "Dầm cánh rộng" trong xây dựng cầu tại Việt Nam

Ngày 8/6, tại Hà Nội, Bộ GTVT phối hợp với Đại sứ quán Úc tổ chức Hội thảo "Tổng kết dự án hỗ trợ kỹ thuật đánh giá công nghệ dầm cánh rộng áp dụng cho các dự án hạ tầng giao thông ở Việt Nam", với những ưu điểm từ áp dụng công nghệ dầm cánh rộng trong thực tế, giới khoa học mong muốn sớm được áp dụng trong thực tế nhằm mang lại hiệu quả kinh tế, kỹ thuật và bảo vệ môi trường.

Doanh nhân