Tối ưu hóa các hình thức chạy xe buýt trong thành phố

sao sao sao sao sao
26/04/2015 10:32

Giảm thời gian chuyến đi của hành khách bằng phương tiện vận tải hành khách công cộng nói chung và xe buýt nói riêng theo phương pháp O – D vừa là mục tiêu, vừa là động lực cho sự phát triển vận tải hành khách công cộng.

Có rất nhiều nhân tố tác động đến thời gian chuyến đi của hành khách khi sử dụng xe buýt, trong đó có yếu tố của hình thức chạy xe.

Nội dung của bài báo là nghiên cứu tối ưu hóa các hình thức chạy xe buýt trong thành phố với mục tiêu nhằm giảm thời gian chuyến đi của hành khách theo phương pháp O – D.

PGS. TS. Từ Sỹ Sùa
Trường Đại học Giao thông vận tải

Người phản biện: PGS. TS. Nguyễn Hồng Thái

                                       TS. Nguyễn Thanh Chương

Từ khóa: Phương pháp O – D, tối ưu hóa.

Abstract: Reducing Origin – Destination (O – D) travel time of passengers in public transport in general and buses in particular is target and driving force for the development of public transport. There are many factors that impact the travel time of passengers using the bus; including the bus operation methods.

Contents of the paper are to study the optimization of bus operationmethods in citiesin order to reduce the O – D travel time of passenger.

keywords: O – D method, optimization.

1. Nội dung

Ở các thành phố lớn cần phải xây dựng hệ thống vận tải hành khách công cộng (VTHKCC) hiện đại, với nhiều phương thức vận tải hành khách khác nhau để đáp ứng nhu cầu đi lại ngày càng tăng của hành khách. Việc hành khách lựa chọn sử dụng phương thức vận tải hành khách này hoặc phương thức vận tải hành khách khác là một vấn đề rất phức tạp (có cả yếu tố về chất lượng dịch vụ, tâm lý – xã hội, GDP…). Song có thể khái quát sự lựa chọn của hành khách theo các tiêu chí chủ yếu sau:

- Tính đảm bảo an toàn và độ tin cậy;

- Tính kịp thời, nhanh chóng thông qua tổng chi phí thời gian cho chuyến đi theo phương pháp O – D;

- Tính thuận tiện và tiện nghi;

- Tính kinh tế thông qua giá vé (tiền cước) phải chi trả.

Trong khuôn khổ của bài báo chỉ đề cập đến vấn đề tối ưu hóa các hình thức chạy xe buýt trong thành phố với mục tiêu nhằm giảm chi phí thời gian cho chuyến theo phương pháp O – D khi hành khách sử dụng xe buýt.

Các hình thức tổ chức chạy xe được nghiên cứu xây dựng trên cơ sở các tuyến VTHKCC bằng xe buýt đã có cho các hành trình cụ thể.

Hành trình vận chuyển hành khách là đường đi của phương tiện trên mạng lưới giao thông để thực hiện nhiệm vụ vận chuyển được giao theo thời gian biểu và biểu đồ chạy xe đã được duyệt.

Để tối ưu hóa các hình thức chạy xe trước hết phải xác lập số lượng hợp lý các điểm dừng trên mỗi hành trình hay nói khác đi phải xác định cự ly bình quân tối ưu giữa các điểm dừng trên hành trình.

Xuất phát từ việc phân tích tổng chi phí thời gian cho một chuyến đi của hành khách bằng xe buýt theo phương pháp O – D (TO-D) để xác định số lượng các điểm dừng hợp lý.

Kết cấu các thành phần thời gian TO-D bao gồm:

+ Thời gian đi bộ từ điểm xuất phát (O) đến điểm dừng (đỗ) trên hành trình: Tb1, phút;

+ Thời gian chờ đợi phương tiện, T, phút;

+ Thời gian trên phương tiện Tpt; thời gian này xác định theo thời gian phương tiện lăn bánh và thời gian phương tiện dừng ở các điểm dừng dọc đường để hành khách lên, xuống;

+ Thời gian đi bộ từ điểm dừng (đỗ) mà hành khách xuống xe đến địa điểm kết thúc (D) chuyến đi; Tb2

TO-D = Tb1 + T + Tpt + Tb2     (phút)              (1)

Khi mật độ mạng lưới hành trình trong thành phố tương đối đồng đều thì:

Tb1  = Tb2 = Tb             (2)

Thay (2) vào (1) ta có:

TO-D = 2 Tb + T + Tpt(3)

ct4   (4)

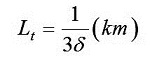
Trong đó: Tb – Quãng đường đi bộ, km;

Vb – Tốc độ đi bộ, km/giờ;

Lt – Quãng đường đi bộ đến tuyến giao thông, km;

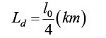
Ld – Quãng đường đi bộ dọc theo tuyến giao thông đến điểm dừng (đỗ), km.

Theo kết quả phân tích về mối quan hệ giữa Lt với mật độ mạng lưới giao thông thì:

ct5       (5)

ct6 (6)

LM - Chiều dài mạng lưới giao thông theo trục đường phố km;

F – Diện tích thành phố là km2.

ct7  (7)

l0 – Cự ly bình quân giữa các điểm dừng trên hành trình là km.

ct8   (8)

I – Khoảng cách chạy xe trên hành trình là phút.

ct9  (9)

Trong đó:

lhk - Chiều dài bình quân chuyến đi của hành khách là km;

VT - Tốc độ kỹ thuật bình quân của xe, km/giờ;

t0 -Thời gian xe dừng bình quân tại mỗi điểm dừng trên hành trình là phút.

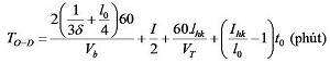
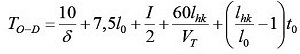
Thay các trị số vào (3) ta được:

ct10(10)

ct11 (11)

ct12(12)

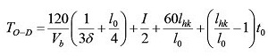
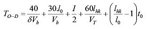
Nếu cho tốc độ đi bộ Vb = 4,0km/giờ thì

ct13   (13)

ct14 (14)

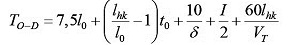
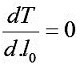
Để xác định cự ly giữa các điểm dừng tối ưu sao cho tổng chi phí thời gian chuyến đi đạt giá trị nhỏ nhất TO-D = f(l0) và cho dt . Từ (14) ta có:

ct15  (15)

Trong đó:

l*o - Cự ly tối ưu bình quân giữa các điểm dừng trên hành trình là km;

lhk – Chiều dài bình quân chuyến đi của hành khách trên tuyến là km;

t0 – Thời gian xe dừng bình quân tại mỗi điểm dừng trên hành trình là phút.

Dựa vào (15) có thể xác định được khoảng cách bình quân giữa các điểm dừng trên các hành trình để cho TO-D: Là nhỏ nhất và xác định được số lượng điểm dừng trên hành trình.

Sau khi đã xác định hợp lý số lượng điểm dừng, cự ly các điểm dừng trên tuyến sẽ tiến hành nghiên cứu các hình thức tổ chức chạy xe buýt thích hợp.

Các hình thức tổ chức chạy xe buýt trong thành phố có 4 loại cơ bản:

- Hình thức tổ chức chạy xe buýt thông thường (các chuyến xe buýt thường). Theo hình thức tổ chức chạy xe này thì phương tiện sẽ lần lượt dừng ở tất cả các điểm dừng (có biểu đồ quy định) dọc đường trên hành trình để hành khách lên xuống xe.

- Hình thức tổ chức chạy xe buýt nhanh (các chuyến xe buýt nhanh). Theo hình thức tổ chức chạy xe này thì phương tiện không phải dừng ở tất cả các điểm đỗ dọc đường mà chỉ ở những điểm dừng nhất định (có biểu đồ quy định) dọc đường của hành trình để hành khách lên, xuống.

- Hình thức tổ chức chạy xe buýt tốc hành (các chuyến xe buýt tốc hành) là hình thức tổ chức mà phương tiện chỉ dừng cho hành khách lên xuống ở điểm đỗ đầu hành trình; một điểm dừng dọc đường và điểm đỗ cuối của hành trình, còn không dừng lại ở bất kỳ điểm nào khác để hành khách lên xuống.

- Hình thức chạy xe buýt theo hành trình rút ngắn có 2 loại:

+ Hành trình rút ngắn theo không gian:

Theo hình thức này, xe buýt không chạy hết chiều dài hành trình mà dừng đỗ tại điểm dừng chủ yếu (cự ly phần hành trình rút ngắn nhỏ hơn tỷ lệ quy định so với chiều dài hành trình).

+ Hành trình rút ngắn theo thời gian:

Theo hình thức này, trong giờ cao điểm xe buýt sẽ được điều chỉnh lộ trình khi qua khu vực trung tâm nhằm tránh ách tắc giao thông, sau đó lại theo lộ trình cũ.

Để giúp cho hành khách dễ dàng phân biệt khi sử dụng các chuyến xe buýt khác nhau cần được quy định thống nhất ký hiệu chuyến xe buýt khác nhau.

Do nhu cầu đi lại của hành khách trên hành trình khác nhau, cự ly bình quân 1 chuyến đi của hành khách cũng khác nhau và phân bố luồng hành khách theo không gian (theo chiều dài tuyến) không giống nhau nên trên mỗi hành trình nếu chỉ áp dụng một hình thức tổ chức chạy xe là không hợp lý và không có hiệu quả.

Do đó, phải có sự kết hợp giữa các hình thức tổ chức chạy xe trên từng hành trình thích hợp nhằm giảm chi phí thời gian chuyến đi, tăng tốc độ O-D và tốc độ lữ hành và nâng cao năng suất và chất lượng dịch vụ VTHKCC bằng xe buýt.

Hiện nay, VTHKCC bằng xe buýt của các thành phố lớn ở Việt Nam với cách thức chạy xe chưa đa dạng, chủ yếu là chạy xe buýt thông thường.

Bởi vậy, cần tối ưu hóa các hình thức tổ chức chạy xe trong thành phố, có nghĩa là xác lập cơ cấu hợp lý giữa các hình thức tổ chức chạy xe lấy hàm mục tiêu: Tổng thời gian các chuyến đi của hành khách đạt giá trị cực tiểu.

Dựa vào đặc điểm sơ đồ luồng hành khách, số lượng xe hoạt động trên hành trình, thời gian xe chạy 1 vòng, số lượng hành khách lên, xuống, thông qua tại các điểm dừng… để tính toán cơ cấu các chuyến xe buýt thuờng các chuyến xe buýt nhanh, các chuyến xe buýt tốc hành chỉ thích hợp cho từng hành trình cụ thể.

Đối với các chuyến xe buýt tốc hành, chọ lộ trình có tốc độ kĩ thuật lớn nhất để giảm thời gian đi lại của hành khách, giảm chi phí nhiên liệu cho một chuyến xe, giảm mật độ xe trên các hành trình.

Tùy theo công suất và đặc điểm của luồng hành khách mà lựa chọn sức chứa (trọng tải) thích hợp khi tổ chức các chuyến xe buýt chạy tốc hành để nâng cao hiệu quả sử dụng phương tiện.

Phân tích quy luật biến động luồng hành khách theo không gian cho thấy chỉ có 2 dạng chủ yếu theo Hình 1.1 và Hình 1.2.

     Hinh 1.1                                Hình 1.2

Hinh 1.1                                                                                     Hình 1.2

Qmax - Khối lượng, hành khách lớn nhất trên hành trình (HK);

Qtb – Khối lượng hành khách bình quân theo các điểm dừng, đỗ (HK);

l – Cự ly các điểm đỗ theo hành trình A – B.

Theo quy luật biến động đó nếu tổ chức các chuyến, có hành trình rút ngắn ở Hình 1.1 điểm bắt đầu và kết thúc của hành trình rút ngắn là 2 – 6.

Hình 1.2 phổ biến khi hành trình đi qua trung tâm thành phố hoặc trung tâm thu hút lớn. Dạng đồ thị Hình 1.2 phổ biến khi hành trình xuất phát từ điểm thu hút lớn hoặc trung tâm thành phố đi các địa điểm có mức độ thu hút hành khách nhỏ hơn. Vấn đề cần giải quyết là xác định chiều dài của hành trình rút ngắn sao cho vừa đảm bảo giảm thời gian của hành khách vừa đảm bảo tính thuận lợi của chuyến đi.

Về phương diện lý thuyết có thể có rất nhiều phương án chọn điểm bắt đầu và điểm kết thúc của hành trình rút ngắn. Song để giảm bớt khối lượng tính toán có thể so sánh với khối lượng hành khách trung bình trên hành trình. Ở các điểm đỗ nào nếu có khối lượng hành khách nhỏ hơn khối lượng hành khách trung bình (theo không gian) không thể làm điểm bắt đầu và điểm kết thúc của hành trình rút ngắn được.

Tùy theo đặc điểm cụ thể của luồng hành khách trên mỗi hành trình có thể tổ chức các hình thức chạy xe thích hợp, bổ sung và hỗ trợ cho nhau nhằm giảm chi phí thời gian của hành khách đồng thời đảm bảo không ngừng nâng cao chất lượng phục vụ hành khách và hiệu quả khai thác phương tiện VTHKCC bằng xe buýt trong thành phố.

2. Kết luận

Tối ưu hoá các hình thức chạy xe buýt trong thành phố là một trong các giải pháp nhằm nâng cao chất lượng dịch vụ VTHKCC trên cơ sở giảm thời gian chuyến đi của hành khách theo phương pháp O – D, nên cần được nghiên cứu, xem xét để áp dụng có hiệu quả vào các thành phố lớn của Việt Nam.

Tài liệu tham khảo

[1]. PGS. TS. Từ Sỹ Sùa (2010), Thương vụ vận tải, NXB. GTVT, Hà Nội.

[2]. PGS. TS. Từ Sỹ Sùa (chủ biên), ThS Trần Hữu Minh (2005), Khai thác cơ sở vật chất kỹ thuật GTVT đô thị, NXB. GTVT, Hà Nội, .

[3]. PGS.TS. Từ Sỹ Sùa (2003), Bài giảng Cao học Vận tải hành khách thành phố, Trường Đại học GTVT, Hà Nội, .

[4]. Alexangdrot A.A (1990), Gorotxkoi transport – Vưsaia Skola, Maxccơva.

Ý kiến của bạn

Bình luận

Ứng dụng CNTT trong hoạt động vận tải nhằm giảm chi phí logistics

Ứng dụng CNTT trong hoạt động vận tải nhằm giảm chi phí logistics

Bài báo đề cập tới lợi ích và giải pháp cần thiết để doanh nghiệp Việt Nam ứng dụng công nghệ thông tin (CNTT)...

Nghiên cứu ứng dụng logic mờ trong phân tích tài chính dự án giao thông theo hình thức hợp tác công - tư

Nghiên cứu ứng dụng logic mờ trong phân tích tài chính dự án giao thông theo hình thức hợp tác công - tư

Phát triển cơ sở hạ tầng giao thông sẽ tạo điều kiện để phát triển kinh tế - xã hội, đáp ứng tiến trình hội nhập kinh tế...

Đánh giá ảnh hưởng của hệ số tổn thất khí động qua xu-páp nạp, thải đến các thông số vận hành của động cơ Hyundai 2.5TCI-A

Đánh giá ảnh hưởng của hệ số tổn thất khí động qua xu-páp nạp, thải đến các thông số vận hành của động cơ Hyundai 2.5TCI-A

Hiện nay, việc tính toán chu trình công tác (CTCT) của động cơ đốt trong thường sử dụng các phần mềm mô phỏng (PMMP) chuyên dụng như: Diesel RK, GT - Power, AVL - Boost…

Nghiên cứu sóng hài dòng điện hệ thống cung cấp điện kéo đường sắt đô thị

Nghiên cứu sóng hài dòng điện hệ thống cung cấp điện kéo đường sắt đô thị

Đường sắt đô thị là loại hình GTVT đáp ứng nhu cầu đi lại của người dân trong các thành phố hiện đại.

Nghiên cứu đặc tính thâm nhập ion clo của bê tông geopolymer tro bay

Nghiên cứu đặc tính thâm nhập ion clo của bê tông geopolymer tro bay

Bài báo trình bày kết quả nghiên cứu đặc tính thâm nhập ion clorua của bê tông geopolymer tro bay.

Nghiên cứu đặc điểm đi lại và đề xuất giải pháp phát triển xe đạp công cộng tại các đô thị ở Việt Nam

Nghiên cứu đặc điểm đi lại và đề xuất giải pháp phát triển xe đạp công cộng tại các đô thị ở Việt Nam

Xe đạp công cộng được nhiều quốc gia trên thế giới xem là mắt xích cuối cùng trong chuỗi vận tải đa phương tiện