Nghiên cứu tính toán kết cấu công trình ngầm trong môi trường đất yếu chịu tác động của động đất

sao sao sao sao sao
27/07/2015 13:47

Trong bài báo, các tác giả trình bày phương pháp xác định nội lực trong vỏ hầm có mặt cắt ngang hình tròn đặt sâu trong đất yếu và so sánh kết quả của phương pháp tính giải tích với phương pháp phần tử hữu hạn (PTHH), đồng thời đưa ra các kiến nghị trong tính toán công trình ngầm chịu tác động động đất trong môi trường đất yếu.

ThS. NCS. Lê Bảo Quốc

TS. Mai Đức Minh

 ThS. Vũ Ngọc Anh

Học viện Kỹ thuật Quân sự

Người phản biện:

TS. Ngô Ngọc Thủy

GS. TS. Phạm Cao Thăng

Từ khóa: Kết cấu công trình ngầm, nội lực, vỏ hầm, mặt cắt ngang, động đất.Tóm tắt: Trong bài báo, các tác giả trình bày phương pháp xác định nội lực trong vỏ hầm có mặt cắt ngang hình tròn đặt sâu trong đất yếu và so sánh kết quả của phương pháp tính giải tích với phương pháp phần tử hữu hạn (PTHH), đồng thời đưa ra các kiến nghị trong tính toán công trình ngầm chịu tác động động đất trong môi trường đất yếu.

Abstract: To study the interaction between structure and soil, scientists Wang, Penzien and Wu gave the analytical methods. In this article the authors determine the internal forces in circle lining in soft soil using Finite Element Method (FEM) and comparing the difference between the anlytical method and FEM. The authors make recommendations in the calculation of underground affected earthquake in soft soil.

Keywords: Underground structure, inner forces, soft soil, earthquake.

1. Sự cần thiết của vấn đề nghiên cứu

Công trình ngầm đô thị đóng vai trò quan trọng trong hạ tầng đô thị ở các thành phố lớn như Hà Nội và TP. Hồ Chí Minh, trong đó có các tuyến metro ngầm được xây dựng sâu trong đất yếu. Để xét tương tác giữa kết cấu công trình ngầm và nền đất, các nhà khoa học Wang, Penzien và Wu đã đưa ra các phương pháp giải tích. Động đất là hiện tượng dao động rất mạnh nền đất xảy ra khi một nguồn năng lượng lớn được giải phóng trong thời gian rất ngắn do sự rạn nứt đột ngột trong phần vỏ hoặc trong phần áo trên của quả đất. Động đất xảy ra làm ảnh hưởng lớn đến đời sống con người, gây mỏi kết cấu, chuyển vị, hư hỏng công trình xây dựng được con người cảm nhận qua sự chuyển động mặt đất, rung lắc công trình [1].

Dự báo chính xác mức độ chuyển vị, hư hỏng của công trình nhằm đảm bảo an toàn trước khi xây dựng công trình là một vấn đề thực sự cần quan tâm khi xây dựng và phát triển hệ thống không gian ngầm đô thị trong nền đất yếu. Hiện tại, Việt Nam đang xây dựng phát triển hai hệ thống metro ở Hà Nội và TP. Hồ Chí Minh có chiều dày đất yếu sâu trung bình khoảng 12 - 15m. Việt Nam đã chú trọng đến các vấn đề ổn định về địa chấn đối với các công trình.

2. Trạng thái ứng suất - biến dạng của công trình ngầm chịu tác động động đất

2.1. Các biến dạng trượt ngang của công trình ngầm

Động đất tạo ra sóng lan truyền trong môi trường đất tác dụng lên công trình ngầm. Các biến dạng trượt của đất xuất hiện do lan truyền sóng cắt theo phương thẳng đứng là dạng chiếm ưu thế của chuyển động do động đất gây ra. Các tác động này làm biến dạng mặt cắt hầm hình tròn thành hình oval, hình chữ nhật thành hình bình hành và chuyển vị dọc trục thì hầm bị dãn nở hoặc bị uốn (Hình 2.1).

h21 a
Hình 2.1

Biến dạng lớn nhất của các dạng trên được tạo nên do sóng lan truyền theo phương thẳng đứng, còn biến dạng dọc và uốn được hình thành bởi sóng dọc lan truyền dọc trục hầm.

2.2. Trạng thái ứng suất - biến dạng của “trường tự do” (free-field) tạo bởi động đất

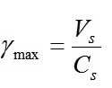
Để đánh giá các tham số sóng địa chấn của trường tự do thông thường sử dụng các phương pháp số như Plaxis..., nhất là khi có các điều kiện địa chất công trình phức tạp. Áp dụng được lý thuyết truyền sóng, việc phân bố ứng suất và biến dạng của sóng địa chấn gây trượt trong “trường tự do” có thể thực hiện được trong sự phụ thuộc vào chiều sâu. Theo Newmark và P. Nomokos [1] biến dạng cực đại của ứng suất trượt như sau:

1
 

 (1)

 

 

Trong đó: Cs - Vận tốc lan truyền sóng, m/s;

Vs - Vận tốc đỉnh chuyển động, m/s.

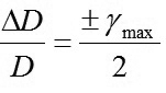
Biến đổi trạng thái ứng suất - biến dạng môi trường xung quanh hầm có thể xác định bằng hai cách:

Khi không tồn tại khoang rỗng ( γ kếtt cấu =   γ trường tự do ).

2
 

 (2)

 

 

Và trường hợp tồn tại khoang hầm  

3
 

 (3)

 

 

 

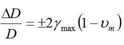
Trong đó: D - Đường kính hầm;

γ max - Biến dạng trượt cực đại của trường tự do khi lan truyền sóng trượt;

`v`   m- Hệ số Poison của nền.

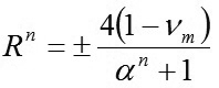
Các phương trình (2) và (3) được xây dựng trường hợp không tồn tại vỏ hầm, điều này có nghĩa là tương tác giữa nền - kết cấu hầm không được xét đến. Phương trình (2) để xác định biến dạng của vỏ hầm với độ cứng không gây ảnh hưởng đến biến đổi trạng thái ứng suất biến dạng của trường tự do. Phương trình (3) tương ứng với trường hợp biến dạng của vỏ hầm quá nhỏ so với biến dạng của trường tự do, hay độ cứng của vỏ hầm quá bé so với môi trường, tương ứng môi trường đá cứng.

3. Phương pháp tính toán công trình ngầm chịu tác động của động đất

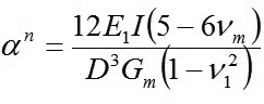
3.1. Phương pháp giải tích xác định các tham số của hầm hình tròn khi có xét đến tương tác kết cấu với môi trường nền

Để xác định độ cứng tương đối giữa vỏ hầm và môi trường xung quanh, ta sử dụng hai hệ số truyền ứng suất khi chịu nén C và chịu uốn F (Flexibility) [3], [4]:

5,6
 

 

(5), (6)

 

 

Trong đó: R -  Bán kính đường hầm;

t - Độ dày của lớp vỏ hầm;

Vl - Hệ số Poát xông của vật liệu vỏ hầm;

Em - Mô đun đàn hồi của nền;                 

Vm - Hệ số Poát xông của nền;

I - Mô men quán tính của vỏ hầm.

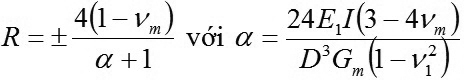
Theo Wang (1991) [4], lời giải giải tích xác định được các phản lực của vỏ hầm như nén cực đại vỏ hầm Tmax, Momen uốn cực đại Mmax và biến dạng của đường kính  ∆D/D được xác định trong các trường hợp sau:

- Để xác định momen uốn cực đại, ta giả thiết rằng xuất hiện sự trượt toàn bộ vỏ hầm so với đất xung quanh nó:

7,8,9
 

  (7)

  (8)

  (9)

 

 

- Để xác định lực dọc cực đại trong vỏ cần phải xét đến lực dính, nghĩa là bỏ qua sự trượt toàn bộ của vỏ hầm so với đất xung quanh nó:

11
 

 (11)

 

 

Trong đó:                                                  

12
 

  (12)

 

 

K1K2 - Hệ số truyền ứng lực lên vỏ hầm.

Penzien và Wu (1998) [5] đã phát triển giải pháp phân tích tương tự để xác định mô men uốn, lực dọc và lực cắt tại thời điểm trong vỏ hầm biến dạng do động đất.

- Điều kiện trượt toàn bộ vỏ hầm với nền đất xung quanh:

13,14,15
 

 (13)

(14)

(15)

 

 

 

Trong đó: Vl - Hệ số Poát xông của vật liệu vỏ hầm;

El - Mô đun đàn hồi của vật liệu vỏ hầm;

Dlining - Đường kính vỏ hầm;

I - Mô men quán tính của vỏ hầm.

và:  

16a
 

 

                  

 

Trong đó:                        

16b
 

 (16)

 

 

 

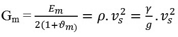
với Gm là mô đun kháng cắt của nền,

17
 

 

(17)

 

- Trong trường hợp không có điều kiện trượt (no-slip), các công thức trên được trình bày như sau:

18,19,20
 

 

(18)

(19)

(20)

 

 

 

Trong đó:  

21
 

  (21)

 

 

Tóm lại, qua trình bày cho thấy rằng cả hai phương pháp thiết kế của Wang và Penzien cho phép thực hiện tính toán kết cấu công trình hầm có xét đến và không xét đến sự trượt toàn bộ của vỏ hầm với môi trường đất xung quanh.

3.2. Phương pháp số

h31
Hình 3.1: Sơ đồ tính toán của mô hình bài toán

Theo phương pháp giải tích nêu trên của Wang và Penzien tính toán dựa trên phân tích giải tích đưa lực tác dụng dưới dạng tĩnh vào kết cấu hầm, dễ dàng áp dụng tính toán cho nền đất 1 lớp, đối với nền nhiều lớp phải quy đổi về lớp tương đương và khối lượng tính toán lớn và phức tạp. Với công nghệ phát triển như ngày nay sử dụng phương pháp số để tính toán cho thiết kế công trình ngầm chịu tác động động đất trong môi trường nhiều lớp sẽ đơn giản và nhanh chóng hơn. Phương pháp số được lập trên cơ sở PTHH chia lưới các phần tử nền và kết cấu để tính toán. Tải trọng động tác dụng trực tiếp lên kết cấu thông qua các tham số động do động đất gây ra truyền trong nền đất xung quanh được có thể mô tả như Hình 3.1.

Theo phương pháp số có hai vấn đề cơ bản cần quan tâm xem xét trong tính toán ứng xử tương tác giữa nền - kết cấu chịu tải trọng động đất là:

- Mô hình hóa vật lý hệ thống làm việc tương tác của hệ kết cấu - nền như chọn lựa và phân tích PTHH cho nền và kết cấu thích hợp, cũng như kích thước chia lưới phần từ, chọn miền tính toán và bước thời gian tính toán thích hợp.

- Giá trị chuyển vị nền đưa vào tính toán được xác định từ quá trình dao dộng nền đất theo thời gian của trường tự do, giá trị chuyển vị của nền lớn nhất đưa được đưa miền biên của mô hình tính sao cho ứng suất và biến dạng của kết cấu là nguy hiểm nhất.

3.3. So sánh giữa phân tích giải tích và Phương pháp số

3.3.1. Nghiên cứu tính toán nội lực của hầm đối với các trường hợp thay đổi tham số môi trường

Sử dụng các công thức tính toán của Wang, Penzien & Wu so sánh với kết quả dùng phương pháp số trong từng trường hợp tham số môi trường thay đổi từ đất yếu đến đất cứng tương ứng các trường hợp từ 1 đến trường hợp 4, các tham số theo Bảng 3.1. Kết cấu hầm tròn được thi công TBM trong độ sâu 15m, bán kính hầm là 3,3m.

Bảng 3.1. Các tham số môi trường nền và hầm

b31
 
h32
 Hình 3.2: Rời rạc hóa các PTHH môi trường đồng nhất và dạng biến dạng trường tự do biên vỏ hầm

Bảng 3.2. Kết quả sau khi phân tích tính toán

b32
 
h33
Hình 3.3: So sánh sai số giữa phương pháp giải tích và phương pháp số của mô men Mmax (trường hợp có xét đến trượt giữa kết cấu với nền đất xung quanh)

 

h34
Hình 3.4: So sánh sai số giữa phương pháp giải tích và phương pháp số của mô men Mmax (trường hợp không trượt giữa kết cấu  với nền đất xung quanh)

Qua các biểu đồ trên cho thấy với độ cứng của đất nền càng lớn thì sai số giữa phương pháp số và phương pháp giải tích (Wang và Penzien) càng lệch nhỏ;

Đối với đất nền có độ cứng lớn cho thấy kết quả giữa các phương pháp tính toán tương đối gần nhau, sai số rất nhỏ được mô tả như Hình 3.5.

h35

Hình 3.5: Biểu đồ so sánh giữa các phương pháp với hệ số truyền ứng suất chịu uốn F 

 4. Kết luận

- Kết quả tính toán từ giải tích có thể xác định được đường kính, hình dáng kết cấu để mô phỏng trước khi áp dụng phương pháp số tính toán chính xác cho thiết kế.

- Từ phân tích số giữa Wang và Penzien cho thấy nội lực cực đại trên vỏ hầm của Penzien gần đúng với phân tích số hơn. Tuy nhiên, lực Vmax từ phương pháp của Penzien có chênh lệnh quá nhiều.

- Trường hợp hầm xây dựng trong môi trường đơn giản ít phức tạp có thể sử dụng phương pháp theo Wang để xác định nội lực của hầm. Trong các trường hợp môi trường đất phức tạp, địa chất yếu, cấu tạo địa tầng nhiều lớp kiến nghị sử dụng phương pháp số xác định nội lực hầm nhằm chính xác hơn o

Tài liệu tham khảo

[1]. Nguyễn Lê Ninh (2007), Động đất và thiết kế công trình chịu động đất, NXB. Xây dựng.

[2]. St. John, C.M., Zahrah, T.F. (1987), Aseismic design of underground structures, Tunneling Underground Space Technol. 2 (2), 165 - 197.

[3]. Kyriazis Pitilakis, Sotiris Argyroudis, Grigoris Tsinidis (2011), Seismic design and risk assessment of underground long structure, Aristotle University.

[4]. Wang, J. (June 1993), Seismic design of tunnels. Monograph 7, Parsons Brinckerhoff Quade & Douglas Inc, New York.

[5]. Youssef M.A. Hashash, Jeffrey J. Hook, Birger Schmidt, John I-Chiang Yao (2001), Seismic design and analysis of underground structures, Tunnelling and Underground Space, Technology 16, 247 - 29.

 

Ý kiến của bạn

Bình luận

Ứng dụng CNTT trong hoạt động vận tải nhằm giảm chi phí logistics

Ứng dụng CNTT trong hoạt động vận tải nhằm giảm chi phí logistics

Bài báo đề cập tới lợi ích và giải pháp cần thiết để doanh nghiệp Việt Nam ứng dụng công nghệ thông tin (CNTT)...

Nghiên cứu ứng dụng logic mờ trong phân tích tài chính dự án giao thông theo hình thức hợp tác công - tư

Nghiên cứu ứng dụng logic mờ trong phân tích tài chính dự án giao thông theo hình thức hợp tác công - tư

Phát triển cơ sở hạ tầng giao thông sẽ tạo điều kiện để phát triển kinh tế - xã hội, đáp ứng tiến trình hội nhập kinh tế...

Đánh giá ảnh hưởng của hệ số tổn thất khí động qua xu-páp nạp, thải đến các thông số vận hành của động cơ Hyundai 2.5TCI-A

Đánh giá ảnh hưởng của hệ số tổn thất khí động qua xu-páp nạp, thải đến các thông số vận hành của động cơ Hyundai 2.5TCI-A

Hiện nay, việc tính toán chu trình công tác (CTCT) của động cơ đốt trong thường sử dụng các phần mềm mô phỏng (PMMP) chuyên dụng như: Diesel RK, GT - Power, AVL - Boost…

Nghiên cứu sóng hài dòng điện hệ thống cung cấp điện kéo đường sắt đô thị

Nghiên cứu sóng hài dòng điện hệ thống cung cấp điện kéo đường sắt đô thị

Đường sắt đô thị là loại hình GTVT đáp ứng nhu cầu đi lại của người dân trong các thành phố hiện đại.

Nghiên cứu đặc tính thâm nhập ion clo của bê tông geopolymer tro bay

Nghiên cứu đặc tính thâm nhập ion clo của bê tông geopolymer tro bay

Bài báo trình bày kết quả nghiên cứu đặc tính thâm nhập ion clorua của bê tông geopolymer tro bay.

Nghiên cứu đặc điểm đi lại và đề xuất giải pháp phát triển xe đạp công cộng tại các đô thị ở Việt Nam

Nghiên cứu đặc điểm đi lại và đề xuất giải pháp phát triển xe đạp công cộng tại các đô thị ở Việt Nam

Xe đạp công cộng được nhiều quốc gia trên thế giới xem là mắt xích cuối cùng trong chuỗi vận tải đa phương tiện