Nghiên cứu sử dụng vôi thủy hóa làm phụ gia cải thiện đặc tính cơ học của bê tông nhựa trong điều kiện ẩm ướt

sao sao sao sao sao
06/12/2019 05:40

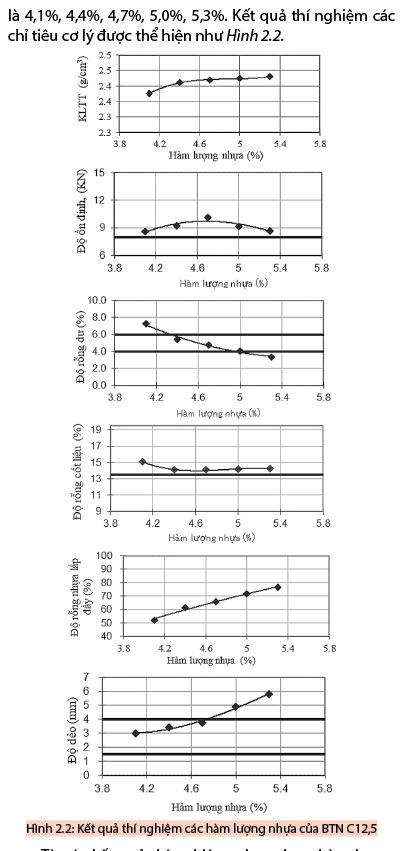
Trên cơ sở các kết quả thí nghiệm trong phòng của bê tông nhựa chặt (BTNC) 12,5 có sử dụng vôi thủy hóa thay thế một phần bột khoáng

 

TS. LÊ VĂN PHÚC;

KS. ĐẶNG ĐÌNH TÀI;

ThS. NGUYỄN MINH QUANG

Trường Đại học Giao thông vận tải

1a
2a
3a
4a
5a
6a
7a
8a
9a
10a
11a
12a
Ý kiến của bạn

Bình luận

Diễn đàn đối thoại chính sách cấp cao về kết nối nguồn lực phát triển

Diễn đàn đối thoại chính sách cấp cao về kết nối nguồn lực phát triển

Nằm trong khuôn khổ sự kiện Techfest Việt Nam 2019, ngày 5/12, tại Cung Quy hoạch, Hội chợ và Triển lãm tỉnh Quảng Ninh đã tổ chức diễn đàn đối thoại chính sách cấp cao và hội nghị quốc tế kết nối nguồn lực phát triển kết nối sáng tạo.

Tàu không gian SpaceX chở lửa và chuột lên Trạm Vũ trụ Quốc tế

Tàu không gian SpaceX chở lửa và chuột lên Trạm Vũ trụ Quốc tế

Ngày 4/12, tên lửa Falcon 9 của SpaceX sẽ chở khoang Dragon chứa đầy hàng tiếp tế và các dụng cụ thí nghiệm đặc biệt lên Trạm Vũ trụ Quốc tế (ISS).

Khai mạc Ngày hội Khởi nghiệp đổi mới sáng tạo lớn nhất trong năm 2019

Khai mạc Ngày hội Khởi nghiệp đổi mới sáng tạo lớn nhất trong năm 2019

Tối ngày 4/12 tại thành phố Hạ Long (Quảng Ninh) đã diễn ra Lễ khai mạc Ngày hội khởi nghiệp đổi mới sáng tạo quốc gia (Techfesh) năm 2019.

Tàu điện ngầm mới của Trung Quốc có cửa sổ cảm ứng như iPad

Tàu điện ngầm mới của Trung Quốc có cửa sổ cảm ứng như iPad

Tàu điện ngầm mới của Trung Quốc có cửa sổ cảm ứng như iPad

Mercedes biến hàng loạt xe sang S-Class thành taxi tự lái

Mercedes biến hàng loạt xe sang S-Class thành taxi tự lái

Mercedes triển khai đội xe tự lái gồm 30 chiếc S-Class hạng sang tại Mỹ trong chương trình thử nghiệm Robotaxi.

FBI công bố nhiều hãng ôtô là miếng mồi béo bở của tin tặc

FBI công bố nhiều hãng ôtô là miếng mồi béo bở của tin tặc

Các hãng sản xuất ôtô Mỹ trở thành mục tiêu tấn công hàng đầu của tin tặc trong năm 2018, theo báo cáo mới nhất của Cục điều tra liên bang Mỹ (FBI).