Thông tin Chuyên trang Giao thông

Email: chuyentranggiaothong@gmail.com

Hotline: 0902 202 229

Liên hệ quảng cáo

logo
Tiktok
ĐẦU TƯ GIAO THÔNG PHÁP LUẬT GIAO THÔNG THẾ GIỚI XE MULTIMEDIA KINH TẾ GIAO THÔNG

Tất cả chuyên mục

Đầu tư giao thông Đường bộ Hàng không Hàng hải Đường thủy Đường sắt
Pháp luật giao thông Vận tải An toàn giao thông Hỏi đáp Lịch trình
Thế giới xe Thị trường xe Đánh giá xe Chơi xe Hướng dẫn lái xe an toàn
Multimedia Infographic eMagazine Phóng sự ảnh
Kinh tế và giao thông Doanh nghiệp Doanh nhân Thị trường đầu tư
Trang chủ

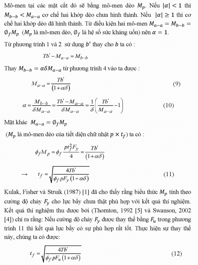
Nghiên cứu ảnh hưởng của chiều dày bản cánh thép T đến tác động bẩy trong liên kết bu-lông chịu kéo

26/04/2018 15:11
Chia sẻ
twitter
Zalo

Trong liên kết bu-lông chịu kéo dạng treo, tác động bẩy phải được xem xét.

  • Trạm trộn bê tông uy hiếp an toàn cầu vượt biển dài nhất Việt Nam
  • Nghiên cứu sử dụng thiết bị không phóng xạ không phá hủy - Troxler kiểm soát độ chặt đầm nén bê tông nhựa nóng hiện trường
  • Một số kết quả nghiên cứu thực nghiệm sử dụng nano-organosilane (zycotherm) cho bê tông asphalt BTNC12.5 sử dụng cốt liệu gốc axit trong điều kiện Việt Nam
dinh_Page_01
dinh_Page_02
dinh_Page_03
dinh_Page_04
dinh_Page_05
dinh_Page_06
dinh_Page_07
dinh_Page_08
dinh_Page_09
dinh_Page_10
dinh_Page_11

Nên đọc

  • Cảng vụ Đường thủy nội địa Khu vực III đẩy mạnh tuyên truyền pháp luật giao thông đường thủy
  • Đắk Lắk: Truy tìm tài xế ô tô bỏ trốn sau tai nạn khiến một người tử vong
  • Đặc điểm dịch vụ kiểm định sản phẩm công nghiệp dùng trên tàu biển, phương tiện thủy theo quy định mới

Tag:

  • tác động bẩy
  • chiều dày bản thép
  • Bu-lông
  • chịu kéo
  • liên kết bu-lông
Chia sẻ
twitter
Zalo
Ý kiến của bạn

Bình luận

Xem thêm bình luận

Thông báo

Bạn đã gửi thành công.

ĐẦU TƯ GIAO THÔNG PHÁP LUẬT GIAO THÔNG THẾ GIỚI XE MULTIMEDIA KINH TẾ GIAO THÔNG
logo

Tổng biên tập: Nguyễn Thái Bình

Phó Tổng biên tập: Nguyễn Văn Hường, Phạm Văn Dùng, Nguyễn Thanh Hoa, Lý Ngọc Thanh

Giấy phép số: 07/GP-CBC ngày 23/4/2025 của Cục Báo chí - Bộ VHTT&DL.

Gửi bài về toà soạn

Toà soạn: 37 Lê Đại Hành, Phường Hai Bà Trưng, TP Hà Nội

Email: chuyentranggiaothong@gmail.com

Hotline: 0902 202 229

Liên hệ với chúng tôi

Tiktok

Copyright @ 2022 by VCcorp