Độ tin cậy về ổn định của công trình bến thùng chìm

sao sao sao sao sao
04/05/2016 05:30

Công trình bến thùng chìm là loại công trình trọng lực, sự ổn định của công trình được đảm bảo bằng chính trọng lượng bản thân...

ª PGS. TS. Nguyễn Văn Vi

Trường Đại học Công nghệ Giao thông vận tải

ª ThS. Nguyễn Quang Hiến

Công ty Cổ phần Tư vấn Xây dựng Cảng đường thủy

Người phản biện:

GS. TS. Đỗ Như Tráng

PGS. TS. Phạm Văn Thứ

Tóm tắt: Bài báo phân tích sự không an toàn về ổn định của công trình khi tính toán theo các phương pháp tiền định, nêu phương pháp đánh giá ổn định của công trình bến thùng chìm theo lý thuyết độ tin cậy và ví dụ minh họa.

Từ khóa: Độ tin cậy, ổn định, công trình bến thùng chìm.

Abstract: The article presents insecure about the stability of terminal when calculated according to the predetermined method, proposes method for calculation about the stability of the caisson terminal by the reliability theory and illustration.

Keywords: The reliability, the stability, the caisson terminal.

 

 

1. Đặt vấn đề

Công trình bến thùng chìm là loại công trình trọng lực, sự ổn định của công trình được đảm bảo bằng chính trọng lượng bản thân, trọng lượng phần vật liệu lấp trong lòng và phía trên công trình. So với nhiều loại kết cấu khác, công trình dạng thùng chìm có nhiều ưu điểm: Tính ổn định cao, dễ dàng kiểm soát chất lượng và tiến độ thi công do các thùng được thi công trên khô, cho phép xây dựng bến với độ sâu lớn (có thể ³ 25m), không phải sử dụng cần trục nổi và giảm khối lượng bê tông một cách đáng kể, được sử dụng ở những nơi gặp khó khăn hoặc không thể đóng cọc (gặp đá sớm hoặc trên các nền san hô ở các vùng hải đảo và ven biển)…

Tại Việt Nam đã có một số cảng áp dụng kết cấu bến dạng thùng chìm (Hình 1.1), đó là cảng Phú Quý, Cái Lân… Kết cấu dạng thùng chìm không chỉ được sử dụng trong xây dựng các công trình bến, mà còn là loại kết cấu rất thích hợp để phát triển các công trình khác ở ven biển và các hải đảo.

hinh11

Hình 1.1: Công trình bến dạng thùng chìm

Để tính toán kiểm tra ổn định chung của các công trình bến, trong đó có công trình bến thùng chìm, chúng ta vẫn áp dụng các tiêu chuẩn thiết kế [1], [2] và một số tiêu chuẩn nước ngoài [6], [8]. Các tiêu chuẩn này đều dựa trên phương pháp các trạng thái giới hạn hay ở một số nước còn gọi là “phương pháp nửa xác suất” hoặc “phương pháp các hệ số an toàn bộ phận”, chúng là cơ sở cho Tiêu chuẩn ISO-2394-73 và nhiều Tiêu chuẩn thiết kế của châu Âu. Bản chất các phương pháp này là tất định hay tiền định khi coi các tham số của hàm độ bền và hàm nội lực đều là các đại lượng không đổi mặc dù hầu hết các tham số này đều là các đại lượng ngẫu nhiên [4], [9]. Như vậy, nhược điểm của các phương pháp tính toán trong các tiêu chuẩn hiện hành là mâu thuẫn trong phương pháp luận, nghĩa là sử dụng các tham số tính toán có bản chất ngẫu nhiên trong thuật toán với các quan hệ hàm số có tính đơn trị và tiền định, cũng như không xét yếu tố thời gian. Cho đến nay, phương pháp tính ổn định của công trình bến thùng chìm có xét đến bản chất ngẫu nhiên của các tham số được dùng trong tính toán vẫn chưa có. Vấn đề này chỉ được giải quyết trên cơ sở lý thuyết xác suất và độ tin cậy. Vì thế, việc nghiên cứu áp dụng lý thuyết xác suất và độ tin cậy để tính toán ổn định của công trình bến thùng chìm cũng như các dạng công trình khác là vấn đề hết sức cần thiết và cấp bách.

Dưới đây sẽ phân tích sự không an toàn về ổn định của công trình bến thùng chìm khi tính toán theo phương pháp các trạng thái giới hạn, nêu phương pháp đánh giá ổn định của công trình bến thùng chìm theo lý thuyết độ tin cậy và ví dụ minh họa.

2. Kiểm tra ổn định công trình bến thùng chìm theo phương pháp các trạng thái giới hạn

Không làm mất tính tổng quát của bài toán kiểm tra ổn định công trình, ở đây chúng ta chỉ xét ổn định lật của công trình bến thùng chìm, các dạng ổn định khác cũng được xét tương tự. Khi đó, ổn định lật của của công trình được đảm bảo nếu thỏa mãn điều kiện [1]:

ct123
hinh2122

đó công trình ở vào trạng thái giới hạn và bị coi là không ổn định hay không an toàn (Hình 2.2). Nếu xác suất xảy ra với nhiều đại lượng đồng thời nhận giá trị nhỏ thì hệ số kcòn giảm nhanh hơn nữa.

Rõ ràng, việc tính toán công trình theo phương pháp các trạng thái giới hạn đã không thể xét được xác suất xảy ra sự cố của công trình. Trong mấy chục năm gần đây, sự phát triển tiếp theo của phương pháp các trạng thái giới hạn cũng chỉ là thường xuyên làm chính xác hơn các nội dung tính toán riêng biệt và các hệ số mà không thay đổi các tiêu chí đánh giá chất lượng kết cấu. Tuy nhiên, theo GS. A.X. Lư-trốp, việc làm chính xác hơn các nội dung và các hệ số chỉ đạt đến một giới hạn nào đó, còn sau đó thì/hoặc là không hiệu quả, hoặc là không an toàn [4], [9].

3. Tính toán độ tin cậy về ổn định của công trình bến thùng chìm

Như đã biết [4], [10], đa số các tham số của kết cấu và tải trọng được đưa vào tính toán các công trình bến phân bố theo quy luật chuẩn hoặc gần với phân bố chuẩn, vì thế độ tin cậy về ổn định của công trình bến thùng chìm có thể được xác định theo phương pháp tuyến tính hóa [4]. Tuy nhiên, các hàm mô-men Mvà Mg là các hàm khá phức tạp của các biến ngẫu nhiên, do đó, khi tính các phương sai của chúng, việc đạo hàm riêng cấp một và cấp hai của các hàm này cũng tốn nhiều công sức và dễ nhầm lẫn. Vì thế, để tính toán xác suất và độ tin cậy của công trình, tốt nhất nên sử dụng các phương pháp số: Phương pháp Monte Carlo, phương pháp thử nghiệm thống kê… với việc sử dụng máy tính điện tử. Theo hướng này, các tác giả đề nghị sử dụng phương pháp mô hình hóa thống kê từng bước [5]. Đây là một phương pháp tính xác suất các kết cấu xây dựng rất thuận lợi và hiệu quả, đã được công bố ở nước ngoài [10], [11] và được trình bày chi tiết trong [5]. Ở đây chỉ trình bày ý tưởng cơ bản của phương pháp và kết quả ứng dụng tính toán độ tin cậy về ổn định lật của công trình bến thùng chìm.

Phương pháp dựa trên thuật toán tiền định và mô hình hóa thống kê các đại lượng ngẫu nhiên. Như đã biết, thuật toán tiền định để tính toán ổn định của công trình bến thùng chìm cũng như tính toán các công trình nói chung được thể hiện bằng một loạt các biểu thức mà các kỹ sư thực hiện không khó khăn. Các biểu thức này thường là các hàm biểu thị các quan hệ cơ học hoặc vật lý nào đó giữa các tham số của kết cấu và tải trọng [5], [10].

Giả sử cần xác định các đặc trưng thống kê của hàm F, là hàm của các đại lượng ngẫu nhiên x1,x2,...,xn, nghĩa là:

ct34

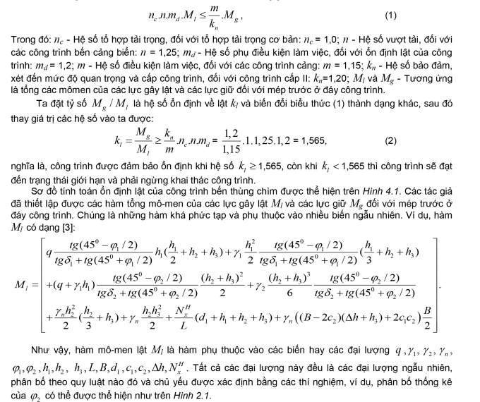
4. Ví dụ

Dưới đây dẫn ra các kết quả tính toán xác định độ tin cậy của công trình bến số 6 cảng C. L.  Thùng chìm bê tông cốt thép có chiều cao: 16,00m, chiều dài: 19,95m, chiều rộng: 13,00m. Số bích neo trong phạm vi một thùng: Sbn = 1. Sơ đồ tính ổn định lật của công trình bến thùng chìm được thể hiện trên Hình 4.1 và các số liệu tính toán được cho trong Bảng 4.1.

Quá trình tính toán được PGS. TS. Nguyễn Văn Vi lập thành chương trình tính “OTHCHIM” trên ngôn ngữ Turbo Pascal với số lần thử nghiệm có thể đến N = 2,14.109 lần. Trong Bảng 4.2 dẫn ra các kết quả tính toán theo phương pháp tiền định và theo phương pháp mô hình hóa thống kê từng bước với số lần thử nghiệm N = 10.000 lần. Còn trên Hình 4.2 là biểu đồ thực nghiệm và các đặc trưng thống kê của các hàm ngẫu nhiên mô-men gây lật Mvà mô-men chống lật Mđối với mép trước công trình.

hinh41
Hình 4.1: Sơ đồ tính toán ổn định lật của công trình bến thùng chìm

 

Bảng 4.1. Các số liệu đầu vào của công trình bến số 6 cảng C. L

bang41

Bảng 4.2. Kết quả tính toán độ tin cậy về lật của CTB thùng chìm cảng C. L

bang42

 

Khi đó, độ tin cậy về ổn định lật quanh mép trước công trình được xác định theo công thức:

hinh42
Hình 4.2: Biểu đồ thực nghiệm phân bố của mô-men gây lật Ml và mô-men chống lật Mg  đối với mép trước công trình bến thùng chìm với N = 10.000 lần

 

Tài liệu tham khảo

[1]. Bộ GTVT (1992), Công trình bến cảng biển - Tiêu chuẩn thiết kế, 22 TCN 207 - 92.

[2]. Bộ GTVT (1994), Công trình bến cảng sông - Tiêu chuẩn thiết kế, 22 TCN 219 - 94.

[3]. Nguyễn Quang Hiến (2013), Nghiên cứu tính toán ổn định của công trình bến thùng chìm theo lý thuyết độ tin cậy,Luận văn Thạc sĩ kỹ thuật, Trường Đại học Xây dựng.

[4]. Nguyễn Vi (2011), Độ tin cậy của các công trình bến cảng, NXB. GTVT, Hà Nội (tái bản).

[5]. Nguyễn Vi (2014), Phương pháp mô hình hóa thống kê từng bước trong tính toán độ tin cậy của các công trình cảng, NXB. GTVT, Hà Nội (tái bản). 

[6]. BS - 6349 Part 4 (1984), British Standards Maritime Structures.

[7]. JB 50153-92, Unified  Standard of Riliability of  Structure Design,Beijing, China.

[8]. OCDI (2009), Technical standards and and commentarics for port and habour facilities in Japan, Tokyo, Japan.  

[9]. Лычев А. С. (1995), Вероятностные методы расчета строительных конструкций. Москва: Ассоциация строительных высших учебных заведений.

[10]. Nguyễn Vi (2003), Метод статистического моделирования в расчетах надежности портовых гидротехнических сооружений. Москва: Наука и техника транспорта, №4, 2003, c. 88-97.

[11]. Nguyễn Vi (2004), Расчеты надежности на общую устойчивость больверка методом статистического моделирования, Морские и речные порты России - Сборник докладов и тезисов всероссийской второй научно-практической конференции. Москва, c. 102 - 109.

Ý kiến của bạn

Bình luận

Ứng dụng CNTT trong hoạt động vận tải nhằm giảm chi phí logistics

Ứng dụng CNTT trong hoạt động vận tải nhằm giảm chi phí logistics

Bài báo đề cập tới lợi ích và giải pháp cần thiết để doanh nghiệp Việt Nam ứng dụng công nghệ thông tin (CNTT)...

Nghiên cứu ứng dụng logic mờ trong phân tích tài chính dự án giao thông theo hình thức hợp tác công - tư

Nghiên cứu ứng dụng logic mờ trong phân tích tài chính dự án giao thông theo hình thức hợp tác công - tư

Phát triển cơ sở hạ tầng giao thông sẽ tạo điều kiện để phát triển kinh tế - xã hội, đáp ứng tiến trình hội nhập kinh tế...

Đánh giá ảnh hưởng của hệ số tổn thất khí động qua xu-páp nạp, thải đến các thông số vận hành của động cơ Hyundai 2.5TCI-A

Đánh giá ảnh hưởng của hệ số tổn thất khí động qua xu-páp nạp, thải đến các thông số vận hành của động cơ Hyundai 2.5TCI-A

Hiện nay, việc tính toán chu trình công tác (CTCT) của động cơ đốt trong thường sử dụng các phần mềm mô phỏng (PMMP) chuyên dụng như: Diesel RK, GT - Power, AVL - Boost…

Nghiên cứu sóng hài dòng điện hệ thống cung cấp điện kéo đường sắt đô thị

Nghiên cứu sóng hài dòng điện hệ thống cung cấp điện kéo đường sắt đô thị

Đường sắt đô thị là loại hình GTVT đáp ứng nhu cầu đi lại của người dân trong các thành phố hiện đại.

Nghiên cứu đặc tính thâm nhập ion clo của bê tông geopolymer tro bay

Nghiên cứu đặc tính thâm nhập ion clo của bê tông geopolymer tro bay

Bài báo trình bày kết quả nghiên cứu đặc tính thâm nhập ion clorua của bê tông geopolymer tro bay.

Nghiên cứu đặc điểm đi lại và đề xuất giải pháp phát triển xe đạp công cộng tại các đô thị ở Việt Nam

Nghiên cứu đặc điểm đi lại và đề xuất giải pháp phát triển xe đạp công cộng tại các đô thị ở Việt Nam

Xe đạp công cộng được nhiều quốc gia trên thế giới xem là mắt xích cuối cùng trong chuỗi vận tải đa phương tiện