Đánh giá xác suất trùng phục của bánh xe trên mặt đường ô tô trong điều kiện Việt Nam

sao sao sao sao sao
22/06/2015 04:24

Trong bài viết này, tác giả trình bày phương pháp đánh giá xác suất trùng phục bánh xe trên đường ô tô và một số kết quả tính toán xác suất trùng phục bánh xe của các loại trục xe khác nhau tương ứng với các chiều rộng làn xe khác nhau trong điều kiện Việt Nam.

  • TS. DƯƠNG TẤT SINH

Học viện Kỹ thuật Quân sự

  • ThS. ĐẶNG TRẦN TRUNG

Công ty TNHH MTV Công trình giao thông Hà Nội

Người phản biện:

  • GS. TS. Nguyễn Xuân Đào
  • GS. TSKH. Nguyễn Xuân Trục

 

Tóm tắt: Trong bài viết này, tác giả trình bày phương pháp đánh giá xác suất trùng phục bánh xe trên đường ô tô và một số kết quả tính toán xác suất trùng phục bánh xe của các loại trục xe khác nhau tương ứng với các chiều rộng làn xe khác nhau trong điều kiện Việt Nam.

Từ khóa: Xác suất trùng phục bánh xe, xác suất, điều kiện Việt Nam, trục xe.

Abstract: In this article, the author presents methods for evaluating the coincide probability of wheels on highways and some calculation results of coincide probability for the wheel axles of different types corresponding to the lanes with different width in Vietnam conditions.

Keywords: Coincide probability of wheels, probability, wheel axles, Vietnam conditions.

1. Mở đầu

Quy đổi chính xác cường độ chuyển động của tất cả các loại trục xe trên đường về cường độ chuyển động của trục xe tính toán có vai trò quan trọng, quyết định tính đúng đắn trong công tác lựa chọn cấu tạo và xác định chiều dày kết cấu áo đường.

Phương pháp quy đổi, xác định cường độ chuyển động của trục xe tính toán hiện đang được áp dụng trong tính toán kết cấu áo đường của Việt Nam có ưu điểm là đơn giản và dễ áp dụng. Tuy nhiên, chúng ta có thể nhận thấy là trong các công thức quy đổi [1; 2] còn chưa xét đến những vấn đề sau:

- Chưa xét đến xác suất trùng phục của bánh xe trên mặt đường:

+ Tổng số lần trùng phục của bánh xe trên mặt đường sẽ bằng tổng số trục tính toán chuyển động trong một ngày đêm;

+ Tổng số trục xe của loại xe thứ i khi quy đổi về tương đương số lần tác dụng của trục xe tính toán, cũng chỉ được xác định là tích số của số trục xe thứ i đó với hệ số quy đổi là lũy thừa 4,4 (hoặc 16,0 đối với mặt đường cứng) của tỷ số giữa tải trọng trục loại xe thứ i và tải trọng trục tính toán.

Cả hai vấn đề trên cho thấy, tổng số tất cả các trục xe hay bánh xe được xác định là trùng phục 100% trên mặt đường, điều đó là chưa phù hợp thực tế.

- Chưa xét đến chiều rộng mặt cắt ngang đường và của làn xe trong quy đổi về cường độ chuyển động của trục xe tính toán, áp dụng chung một công thức cho mọi loại cấp đường và mọi loại làn xe khác nhau.

Từ các vấn đề trên, cho thấy sự cần thiết phải nghiên cứu xác suất trùng phục của bánh xe trên đường trong điều kiện Việt Nam. Ngoài ra, cũng phải nhấn mạnh là, hư hỏng của mặt đường trước thời hạn thiết kế thường là do sự tác động đồng thời của nhiều các yếu tố khác nhau. Việc xác định không chính xác cường độ chuyển động của trục xe tính toán sẽ rất bất cập cho công tác thiết kế, khai thác và loại trừ nguyên nhân hư hỏng.

2. Đại lượng ngẫu nhiên và xác suất trùng phục của bánh xe trên mặt đường

Hiện tượng trùng phục của bánh xe qua một điểm nào đó có tọa độ x theo phương ngang trên mặt đường là một hiện tượng ngẫu nhiên. Người lái xe chỉ có thể điều khiển phương tiện lăn bánh trong giới hạn của làn xe với chiều rộng quy định trước nhưng khó có thể điều khiển phương tiện lăn bánh luôn chính xác qua một điểm trên mặt đường với nhiều lần khác nhau hoặc giữa các lái xe khác nhau cũng tương tự. Sự trùng phục của vệt bánh xe qua một điểm trên mặt đường phụ thuộc vào rất nhiều các yếu tố khác nhau.

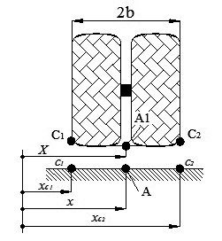
Để đánh giá xác suất trùng phục ngẫu nhiên của một điểm bất kỳ trên bề mặt bánh xe qua một điểm trên mặt đường, ta quy ước như sau: Lấy tim đường hoặc tim làn xe làm chuẩn, đánh dấu điểm giữa của bề mặt bánh xe là A1 vớitọa độ là X và một điểm trên mặt đường là A với tọa độ là x (điểm tính toán). Nếu xem sự trùng phục của điểm A1  lên điểm A là một sự kiện thì sau mỗi lần quan trắc, biến cố xuất hiện của nó có thể xảy ra hoặc không. Nếu xuất hiện sự kiện điểm A1 trùng lên điểm A thì ta có biến cố X = x, nếu không thì X x. Vậy, tọa độ Xđại lượng ngẫu nhiên đặc trưng cho sự trùng phụccủa vệt bánh xe qua một điểm được đánh dấu trên mặt đường và đó là đại lượng ngẫu nhiên liên tục. Khi đó, xác suất trùng phục của điểm A1 với điểm A trên mặt đường khi xe lăn bánh là P (Χ = x)(Hình 2.1).

h21
 Hình 2.1: Sơ đồ xác định trùng phục giữa điểm A1 và của điểm bất kỳ trên mặt bánh xe với điểm A trên mặt đường

Vì bánh xe có chiều rộng là 2b (2b = xC2 - xC1) và áp lực của bánh xe xuống mặt đường trên mọi điểm được xem là như nhau. Cho nên, nếu chỉ xác định xác suất trùng phục của điểm A1  trên mặt bánh xe với điểm A trên mặt đường thì chưa cho ta kết quả về số lần trùng phục của bánh xe trên mặt đường. Lưu ý là, khi điểm A1 trên bề mặt bánh xe nhận các giá trị tọa độ trong khoảng từ xC1 đến xC2 (Hình 2.1) thì đều lăn bánh qua điểm A trên mặt đường. Khi đó, xác suất trùng phục của cả bề mặt bánh xe qua điểm A có tọa độ x trên mặt đường sẽ là:

                       P( xc1 ≤Χ ≤ xc2)

Như vậy, xác suất trùng phục của bánh xe qua một điểm trên mặt đường, chính là xác suất để tọa độ X của điểm giữa bề mặt bánh xe nhận các giá trị trong khoảng từ điểm c1đến c2, khoảng cách đó bằng chiều rộng 2b của vệt bánh xe. 

3. Quy luật phân bố và sơ đồ xác định xác suất trùng phục bánh xe trên mặt đường

Theo nghiên cứu của nhiều tác giả khác nhau trên thế giới, quy luật phân bố của bánh xe trên mặt đường ô tô hay bánh máy bay trên mặt đường sân bay [4] tuân theo quy luật phân bố chuẩn (Normal Distribution Funtion). Hàm mật độ của phân bố chuẩn được biểu thị bằng hàm Gauss:

ct1
 

 

  

 (1)

Trong đó: x - Biến số ngẫu nhiên liên tục nhận giá trị trong miền R;

µ - Kỳ vọng (E[X] = µ);

σ2- Phương sai (V[X] = σ2).

Kỳ vọng E[X] = µ và phương sai V[X] = σ2 là hai tham số đặc trưng cho phân bố chuẩn [1] và thể hiện mức độ ảnh hưởng đến xác suất trùng phục bánh xe trên mặt đường.

Như vậy, với một trục xe có hai cặp bánh kép (hoặc đơn) ở hai đầu trục, hàm mật độ phân bố vệt bánh xe trên mặt đường trong giới hạn của đường một làn xe hoặc trong giới hạn một làn xe của đường với nhiều làn xe, có dạng như trên Hình 3.1.

Nếu trên đồ thị của hàm mật độ phân bố, ta lấy một đoạn phân tố xd thì tích số ƒ(x)xd gọi là phân tố xác suất. Khi đó, xác suất cần tìm để đại lượng ngẫu nhiên X nhận giá trị rơi vào trong khoảng (xC1,xC2) là tổng các phân tố xác suất trên đoạn (c1,c2)

ct2
    

 

 

(2)

 

h31
Hình 3.1: Sơ đồ xác định giá trịxác suấtđể đại lượng ngẫu nhiên X (tọa độ phân bố vệt bánh xe)nhận các giá trịtrong khoảng [xC2, xC1]

Bv- Kích thước vệt bánh xe; Bm - Chiều rộng mặt đường một làn xe; BL - Chiều rộng một làn xe

Trên cơ sở của phương trình (2) và (3), ta có công thức chung xác định xác suất trùng phục của bánh xe qua điểm tính toán trên mặt đường như sau:

ct3
 

 

 

 

(3)

Trong đó:

31
 

 

 - Tọa độ của điểm c1 theo phương ngang của làn xe;   

 

32
 

 

- Tọa độ của điểm c2 theo phương ngang của làn xe;

 

             

x
 

- Số trung bình của tọa độ tâm cặp bánh xe kép hoặc của bánh xe đơn khi lăn bánh trên đường (tính từ tim làn xe hoặc tim đường đối với đường một làn xe).

 

 

34
 

 

Đối với phân bố chuẩn

 

b - 1/2 chiều rộng của vệt bánh xe (kép hoặc đơn). Để tính toán được theo biểu thức (3), ta cần biết các tham số thống kê µ, σ và giới hạn miền lấy tích phân (xC1,xC2) đối với các loại xe khác nhau.

4. Xác định các tham số thống kê trong đánh giá xác suất trùng phục của bánh xe

4.1. Các yếu tố ảnh hưởng đến quy luật phân bố của bánh xe trên mặt đường

Nghiên cứu thực tế cho thấy, các yếu tố ảnh hưởng đến sự trùng phục ngẫu nhiên và quy luật phân bố của bánh xe trên mặt đường, bao gồm:

- Điều kiện của đường: Chiều rộng mặt đường phần xe chạy và chiều rộng làn xe; số làn xe trên đường theo mỗi chiều xe chạy; các yếu tố hình học của đường (đường cong bằng, tầm nhìn vượt xe, độ dốc dọc...); điều kiện mặt đường; chướng ngại lân cận và cảnh quan hai bên đường...; công tác tổ chức giao thông trên đường (ảnh hưởng của vạch phân làn);

- Điều kiện của dòng xe (cường độ chuyển động; mật độ xe trên đường; vận tốc của dòng xe trên đường; hiện tượng vượt xe của các xe có tốc độ cao)

- Cấu tạo xe: Sự có mặt đồng thời của số trục xe tính toán trên cùng một xe (trục đơn, kép đôi hay kép ba); kích thước hình học của trục và bánh xe;

- Người lái xe: Tay nghề và trình độ của người lái; ý muốn chủ quan của ngưới lái trong tình huống giao thông cụ thể; sự tuân thủ luật giao thông đường bộ.

Tuy nhiên, trong rất nhiều các yếu tố ảnh hưởng trên, có một số các yếu tố quan trọng, quyết định đến tổng thể quy luật phân bố của bánh xe trên mặt đường, đó làmặt cắt ngang của đường,chiều rộng làn xe và công tác tổ chức giao thông trên đường.

4.2. Xác định các tham số thống kê của quy luật phân bố bánh xe và các thông số khác

Các tham số thống kê của quy luật phân bố bánh xe có thể được xác định bằng thực nghiệm đối với từng loại cấp đường, cấu tạo mặt cắt ngang đường và làn xe khác nhau cho từng địa phương cụ thể. Việc làm như vậy là tương đối mất thời gian và đòi hỏi phải có các thiết bị tự ký đặt trên đường. Cho nên, ở đây, các tham số thống kê của hàm mật độ phân bố chuẩn (1) được xác định bằng phương pháp nội suy lý thuyết.

Nếu phân tích ta có thể thấy, trường hợp đường có một làn xe hay làn xe của đường chỉ có hai làn xe với vạch sơn liền ở giữa, là các trường hợp bánh xe trùng phục trên mặt đường nhiều nhất. Cho nên trong bài viết này, trường hợp trên được chọn làm tính toán và cơ sở để xác định các tham số thống kê là:

- Chiều rộng của làn xe B L ;

- Kích thước vệt bánh xe BV (khoảng cách giữa hai mép ngoài của vệt bánh xe tiếp xúc với mặt đường ở hai đầu trục của xe) và chiều rộng vệt bánh xe (lưu ý phân biệt kích thước vệt bánh xevệt tiếp xúc bánh xe với mặt đường);

- Quy định của luật giao thông đường bộ (xe đi trong làn của mình);

- Quy tắc 3σ. Với quy tắc 3σ, xác suất đảm bảo là 0,997 để bánh xe và trục xe phân bố trong làn xe. Cũng có thể xác định theo quy tắc khác với 3σ tùy theo điều kiện giao thông cụ thể.

Như vậy, các tham số thống kê thể hiện sự phân bố của bánh xe trên mặt đường, trong một làn xe, được xác định như sau:

- Giá trị tọa độ trung bình (số trung bình  ) của tâm cặp bánh hơi kép hoặc của bánh hơi đơn (Hình 3.1) đối với các loại xe khác nhau, với đủ mức độ chính xác cho tính toán [4], có thể xác định theo biểu thức sau:

                                                                                              

ct4
 

 

(4)

Trong đó: BL - Kích thước vết bánh xe (Hình 3.1); ký hiệu b như đã biết trong phần trên.

- Đối với giá trị σ ta xác định trên cơ sở quy tắc 3σ nói trên và biên độ dao động tối đa có thể của tâm vệt bánh xe (hoặc của trục xe) về bên phải hoặc bên trái nhưng mép ngoài cùng của bánh xe không được vượt quá giới hạn vạch sơn của làn xe, từ đó:

                                                                                               

ct5
 

 

(5)

 

Xác định xác suất trùng phục của bánh xe trên mặt đường là nhằm mục đích quy đổi số lần trùng phục cường độ chuyển động của các loại xe khác nhau về cường độ chuyển động của trục xe tính toán. Cho nên, trước khi xác định xác suất trùng phục của bánh xe, ta phải lựa chọn loại trục xe tính toán, xác định tọa độ của điểm tính toán trên mặt đường theo kích thước của trục xe tính toán, xác định các tham số thống kê và miền lấy tích phân ứng với từng loại trục xe. Sau đó là tính xác suất trùng phục của tất cả các loại bánh xe trên điểm tính toán của mặt đường đã chọn theo trục xe tính toán. Lưu ý, khi xác định xác suất trùng phục vệt bánh xe của trục xe thứ i, tọa độ trung bình   không thay đổi và tương ứng với vệt bánh xe tính toán.

5. Một số kết quả tính toán xác suất trùng phục của bánh xe trên làn xe ở Việt Nam

- Lựa chọn mặt cắt ngang làn xe và loại xe tính toán

Chiều rộng làn xe trên các đường ô tô của Việt Nam có thể dao động từ 2,75m đến 3,75m hoặc có thể hơn. Trong tính toán ở đây, ta lựa chọn 3 loại làn xe điển hình có chiều rộng: 3,0m, 3,5m và 3,75m để tính toán và so sánh.

Về loại xe tính toán, chọn các loại xe điển hình sau: Xe ben Hyundai HD370, 02 trục 13T; xe tải Isuzu FVM34W, 02 trục 10T; xe tải Hyundai HD210, 02 trục 8,8T; xe khách Samco 29chỗ, động cơ Isuzu 3.0L 2014, 01 trục 5T.

Kích thước vệt bánh xe và vệt bánh xe đưa vào tính toán là số liệu thực đo, tương ứng với 04 loại xe trên theo thứ tự: 2,46và 0,62; 2,39 và0,54; 2,13 và 0,42; 1,87 và 0,37. 

- Kết quả xác định xác suất trùng phục bánh xe trên mặt đường

Giả sử chọn trục13T làm trụctính toán, ta xác định xác suất trùng phục bánh xe của từng loại xe thứ i với bánh xe của trục tính toán qua một điểm trên mặt đường. Kết quả tính toán được thể hiện trong bảng dưới đây:

Bảng 5.1. Xác suất trùng phục của các loại bánh xe trên các làn xe khác nhau

b61
 

- Từ kết quả tính toán trong bảng trên cho thấy:

+ Trong cùng một làn xe, xe có kích thước vệt bánh và vệt bánh xe lớn hơn thì xác suất trùng phục trên mặt đường sẽ lớn hơn và ngược lại.

+ Nếu làn xe càng rộng thì xác suất trùng phục của các bánh xe càng giảm, mức độ phân tán của vệt bánh xe xung quanh giá trị trung bình (hay kỳ vọng) của biến ngẫu nhiên càng lớn và giá trị phương sai càng lớn.

6. Kết luận và kiến nghị

- Cấu tạo của các loại trục xe và chiều rộng mặt đường hay chiều rộng làn xe, có ảnh hưởng rất lớn đến xác suất trùng phục của bánh xe trên mặt đường. Vì vậy, cần thiết phải xét đến xác suất trùng phục của bánh xe trong quy đổi về cường độ chuyển động của trục xe tính toán để tính toán kết cấu áo đường.

- Cần nghiên cứu cụ thể ảnh hưởng của xác suất trùng phục bánh xe đối với từng loại chiều rộng làn xe và cho các loại xe khác nhau, ứng với từng cấp đường hoặc ở từng địa phương cụ thể, đặc biệt là đối với xe có nhiều trục (vấn đề này chưa đề cập ở đây), để có giải pháp kỹ thuật phù hợp.

- Số lần trùng phục của mỗi loại bánh xe qua điểm tính toán trên mặt đường (ứng với trục xe tính toán đã lựa chọn) là tích số của xác suất trùng phục với cường độ chuyển động của mỗi loại trục xe trong một ngày đêm và trên một làn xe. Từ số lần trùng phục của mỗi loại bánh xe, ta có thể áp dụng các công thức đã biết [1; 2] để quy đổi về cường độ chuyển động của trục xe tính toán.

Tài liệu tham khảo

[1]. Tô Văn Ban (2010), Xác suất thống kê, NXB. Giáo dục, Hà Nội.

[2]. Quy trình thiết kế áo đường mềm 22TCN- 211- 06 (2006), NXB. GTVT, Hà Nội.    

[3]. Quy trình thiết kế áo đường cứng tạm thời được ban hành kèm theo Quyết định 3230/QD-BGTVT ngày 14/12/2012 của Bộ trưởng Bộ GTVT.   

[4].  Изыскание и проектирование аэродромов (1981), Под ред. Проф. Доктора технических наук Г. И. Глушкова, М., Транспорт.

Ý kiến của bạn

Bình luận

Ứng dụng CNTT trong hoạt động vận tải nhằm giảm chi phí logistics

Ứng dụng CNTT trong hoạt động vận tải nhằm giảm chi phí logistics

Bài báo đề cập tới lợi ích và giải pháp cần thiết để doanh nghiệp Việt Nam ứng dụng công nghệ thông tin (CNTT)...

Nghiên cứu ứng dụng logic mờ trong phân tích tài chính dự án giao thông theo hình thức hợp tác công - tư

Nghiên cứu ứng dụng logic mờ trong phân tích tài chính dự án giao thông theo hình thức hợp tác công - tư

Phát triển cơ sở hạ tầng giao thông sẽ tạo điều kiện để phát triển kinh tế - xã hội, đáp ứng tiến trình hội nhập kinh tế...

Đánh giá ảnh hưởng của hệ số tổn thất khí động qua xu-páp nạp, thải đến các thông số vận hành của động cơ Hyundai 2.5TCI-A

Đánh giá ảnh hưởng của hệ số tổn thất khí động qua xu-páp nạp, thải đến các thông số vận hành của động cơ Hyundai 2.5TCI-A

Hiện nay, việc tính toán chu trình công tác (CTCT) của động cơ đốt trong thường sử dụng các phần mềm mô phỏng (PMMP) chuyên dụng như: Diesel RK, GT - Power, AVL - Boost…

Nghiên cứu sóng hài dòng điện hệ thống cung cấp điện kéo đường sắt đô thị

Nghiên cứu sóng hài dòng điện hệ thống cung cấp điện kéo đường sắt đô thị

Đường sắt đô thị là loại hình GTVT đáp ứng nhu cầu đi lại của người dân trong các thành phố hiện đại.

Nghiên cứu đặc tính thâm nhập ion clo của bê tông geopolymer tro bay

Nghiên cứu đặc tính thâm nhập ion clo của bê tông geopolymer tro bay

Bài báo trình bày kết quả nghiên cứu đặc tính thâm nhập ion clorua của bê tông geopolymer tro bay.

Nghiên cứu đặc điểm đi lại và đề xuất giải pháp phát triển xe đạp công cộng tại các đô thị ở Việt Nam

Nghiên cứu đặc điểm đi lại và đề xuất giải pháp phát triển xe đạp công cộng tại các đô thị ở Việt Nam

Xe đạp công cộng được nhiều quốc gia trên thế giới xem là mắt xích cuối cùng trong chuỗi vận tải đa phương tiện